Coupling of terahertz light with nanometrewavelength magnon modes via spin–orbit torque
비정상 열 홀 효과 (Anomalous thermal Hall effect) 는 무엇일까? 일반 물리학에서 홀 효과 (Hall effect)를 다루는데, 다음과 같이 설명할 수 있다. “직사각형 모양의 도선에 전류가 흐르고 있다고 하자. 전하가 움직이는 방향 (x)에 수직하게 (z) 자기장을 걸면, 전하는 로렌츠 힘 (Lorentz force)을 x, z에 수직한 방향 (y)으로 받는다. 사각형의 y 방향 모서리에 전하가 쌓이고, 이는 +y 방향 모서리와 –y 방향 모서리의 전위차 (electric potential difference) 를 만든다.” 이때 수직한 방향의 자기장 대신 자화 (magnetization) 이 있으면 어떻게 될까? 이때에도 자화에 비례하는 y 방향의 전위차가 생기고, 우리는 이것을 비정상 홀 효과 (anomalous Hall effect) 라고 부른다. (‘비정상’ 이라고 부르는 이유는 다음과 같이 알려져 있다. 1) 홀 효과에 비해 엄청 크다. 2) 자기장이 없어도 나온다.) 그렇다면, 전류 대신 열 흐름 (heat flow)이 있으면 어떻게 될까? 비슷하게, 전위차 대신 온도차 (temperature difference) 가 생긴다. 이것을 열 홀 효과 (thermal Hall effect) 라고 얘기할 수 있을 것이다. 그렇다면, 비정상 열 홀 효과는 “x 방향의 열 흐름과 z 방향의 자화가 있을 때, y 방향으로 온도차가 생기는 현상”이라고 정리할 수 있다.

사실 비정상 열 홀 효과는 처음 측정된 것이 아니다. 2010년 일본 동경대학교 Tokura 연구실에서 Lu2V2O7 을 이용해 κxy~10-3 W/Km 의 비정상 열 홀 효과를 측정한 바 있고 [Science 329, 297 (2010)], 2015년 Cu (1-3, bdc) 라는 kagome 자석에서 κxy~10-4 W/Km 정도의 비정상 열 홀 효과를 측정한 적이 있다 [Phys. Rev. Lett. 115, 106603(2015)]. 그럼에도 해당 연구는 이전 연구와의 차별점이 있는데, 1) 상대적으로 큰 비정상 열 홀 효과를 측정하였다. (κxy~10-2 W/Km) 2) 간단한 자성 (ferromagnetic phase) 및 2D 로의 scale-down 의 가능성이 있다. 연구진이 사용한 물질은 VI3 인데, 흑연 같은 반 데르 발스 물질이다. 격자 구조도 그래핀과 같은 벌집 구조 (honeycomb structure)를 가지고 있다. 그래핀과 다른 점은 50 K 아래에서 강자성 특성을 가진다는 것과, 절연체라는 점이다. SQUID-VSM 측정을 통해 VI3 가 50 K 아래에서 수직 자기이방성을 가지고 있음을 확인하였다. (아래 그림 참고)


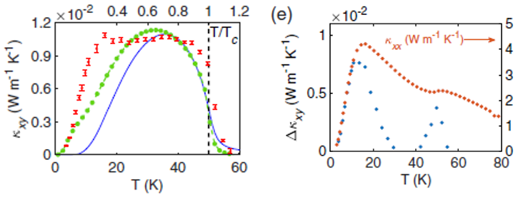
측정 온도는 15 K 로 VI3 가 강자성을 나타내는 온도이고, 이는 자화 측정 데이터에 hysteresis loop로 알 수 있다. 같은 모양으로 횡 방향 열전도율인 κxy 값이 나타나는 것으로 보아 열전도율이 자화와 비례함을 알 수 있고, 이 물질에 비정상 열 홀 효과가 있다는 것을 알 수 있다. 종 방향 열전도율이 재미있게 측정이 되었는데, 스핀트로닉스 분야에 익숙한 사람이라면 마그논 자기저항 (magnon-magnetoresistance, MMR) 과 유사한 모양이라는 것을 알 수 있을 것이다. 연구진은 종 방향 열전도율을 MMR 과 비슷하게 설명한다. “열전도율은 음향양자 (phonon, 포논) 와 자기양자 (magnon, 마그논) 이 결정할 텐데, (절연체라 전자는 관여하지 않는다) 자기장이 강해지면서 마그논의 숫자가 줄어들고, 이에 따라 포논이 마그논과 부딪히지 않으면서 포논이 열전도에 기여하는 부분이 많아진다. 이것이 자기장 세기에 따라 증가하는 열전도율의 원인이다.” 라고 주장한다. 자기장이 세지면서 마그논의 숫자가 줄어들면 마그논에 의한 열전도율은 줄어들고, 앞의 주장에 따르면 포논에 의한 열전도율은 높아지게 될텐데, 결과적으로 자기장 세기에 따라 증가하는 종방향 열전도율을 보면 종 방향 열전도율은 대부분 포논으로부터 생긴다는 사실을 알 수 있다. 연구팀은 강자성체 VI3 의 비정상 열 홀 효과를 이론적으로도 분석하려 하였다. 과정은 복잡하니 생략하고 (궁금하다면 연락바란다.), 이론적으로 계산한 온도에 따른 횡 방향 열전도율은 아래와 같다.

위의 왼쪽 그래프를 보면 실험과 이론이 고온부 (30~40 K 부근)에서는 잘 맞는데, 저온부 (0~20 K 부근) 에서는 잘 맞지 않는 것을 알 수 있다. 여기서 이론 계산에 포논과 마그논의 상호작용을 고려한 결과, 좀 더 실험값에 다가간다는 것을 볼 수 있다. 오른쪽 그래프에서 횡 방향 열전도율의 이론과 실험의 차이가 종 방향 열전도율과 저온부에서 비슷한 경향성을 가지고 있다는 것을 또한 확인할 수 있다. 종 방향 열전도율이 대부분 포논에 의해 생긴다는 이전의 논의를 같이 생각해보았을 때, 이 결과들을 종합해서 얻을 수 있는 결론은 “저온부의 비정상 열 홀 효과는 포논으로부터 나오고, 고온부의 비정상 열 홀 효과는 마그논으로부터 나온다.” 이다. 본 논문에서는 반 데르 발스 물질인 VI3 의 열전도 특성을 평가하였다. 횡 방향 열전도율이 기존의 보고보다 order of magnitude 크다는 것을 보였고, 2D device를 만들어 평가를 한 것은 아니지만 반 데르 발스 물질인 만큼 2D 상태에서도 비정상 열 홀 효과의 가능성을 보여주었다. 또한 이론적 분석과 더불어 비정상 열 홀 효과가 저온부에서는 포논으로부터, 고온부에서는 마그논으로부터 나온다는, 비정상 열 홀 효과의 두가지 원인을 규명하였다.
작성 이근희
E-mail : ghlee0001@kaist.ac.kr
참석자(ZOOM seminar): 박민규, 원운재, 박재현, 이택현, 김현규, 박지호, 이근희, 송무준, 양지석