Exchange bias in weakly interlayer-coupled van der Waals magnet Fe3GeTe2
최근 2차원 소재를 이용한 스핀트로닉스 연구가 활발히 진행되고 있다. 2차원 반데르발스 소재 기반의 스핀트로닉스 연구는 well-defined interface, large anisotropy, weak interlayer interaction 등 일반적인 3d 전이금속 소재 기반 연구에선 구현될 수 없는 조건의 연구들이 가능하다. 뿐만 아니라, 전압을 인가하거나 strain, twist angle 등 2차원 소재에서만 할 수 있는 실험들을 기반으로 많은 자성학 연구가 가능하다. 본 논문에선 2차원 반데르발스 강자성체 물질인 Fe3GeTe2 (FGT)에서 비교적 큰 exchange bias field를 보았고, 이를 약한 interlayer interaction model을 이용하여 설명하였다.
Exchange bias란 antiferromagnet과 ferromagnet 사이의 계면에서 일어나는 exchange coupling effect로, ferromagnet 층의 자화가 antiferromagnet의 영향으로 effective field를 느껴 hysteresis loop가 한쪽으로 shift 되는 현상을 말한다. 이러한 exchange bias의 방향은 antiferromagnet의 Néel vector 방향을 통해 조절할 수 있다. 즉, antiferromagnet를 Néel temperature 온도 이하로 cooling할 때 외부 자기장의 방향을 바꿔 줌으로써 exchange bias 방향을 조절해 줄 수 있는 것이다. 일반적인 3d 전이금속에서 exchange bias에 의한 exchange field는 강자성체의 두께에 반비례한다. 하지만 아래 그림과 같이 2차원 반데르발스 강자성체에선 그러한 법칙이 적용되지 않음을 볼 수 있다.

본 논문의 실험에선 ferromagnet(FM)층으로 FGT를 사용하였고 antiferromagnet(AFM)층은 산화시킨 FGT(O-FGT)를 사용하였다(산화된 FGT는 layered antiferromagnet으로 알려져 있다). 아래 그림을 보면 산화층이 없는 FGT와 비교하였을 때 확실히 exchange bias가 걸리고 있는 것을 볼 수 있다.

Hysteresis loop는 MOKE를 이용하여 측정하였다. PFC와 NFC은 각각 +z 방향과 -z 방향으로 약 1.5~2.0 T의 자기장을 주고 cooling 하였다는 의미다. PFC의 경우와 NFC 경우에 hysteresis loop의 shift 방향이 바뀌는 것을 볼 수 있다. 이는 AFM layer의 Néel vector의 방향이 바뀌어 exchange bias의 방향이 바뀐 것이다. 세 번째 그래프에서 보면 알 수 있듯이 exchange bias field가 자성체 두께에 반비례하는 것이 보이지 않는다. 본 논문의 연구진은 해당 현상을 설명하기 위해 시뮬레이션을 진행하였다. 시뮬레이션을 진행할 때 고려한 에너지는 아래와 같다.

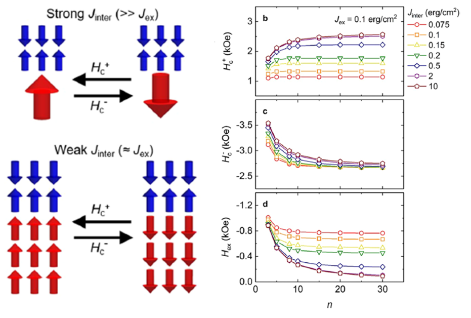
위의 coefficient 중 Jinter(FM의 layer 사이 interaction)를 0.025~10 erg/cm2으로 바꿔가며 시뮬레이션을 진행하였고, 아래 그림과 같이 각 layer의 z방향 자화를 계산했다.

위 그림에서 볼 수 있듯이, Jinter가 약할수록 exchange bias가 커지는 것을 볼 수 있다. 이를 이해하려면, 아래와 같은 모델에서 이해할 수 있다.

위 그림의 왼쪽 그림을 보면, Jinter가 클 경우와 작을 경우의 모델을 알 수 있다. Jinter를 Jex(AFM layer와 가장 가까운 FM layer 사이의 exchange coefficient)보다 매우 큰 경우(conventional 3d metal)와 비슷한 오더 수준의 경우(weak interlayer interaction model)로 나누어 설명하였다. 우선 Jinter가 Jex보다 매우 큰 경우엔 FM layer가 모두 한 몸으로 움직이기 때문에 비교적 자화가 뒤집히는 field가 크다. 하지만 Jinter가 Jex와 비슷한 오더에선 FM layer 사이의 interaction이 작아서, layer들 사이 interaction은 존재하지만 모두 한 몸으로 움직이진 않는다. 따라서 자화가 뒤집히는 field에선 AFM과 가장 가까운 FM layer가 먼저 뒤집히고, 나머지 아래 layer들은 field의 영향과 인접한 FM layer의 자화 상태에 영향을 받아 차례로 뒤집히게 된다. 이는 인접한 AFM layer의 자화가 바로 아래층 FM layer의 자화가 뒤집히기 쉽게 영향을 줄 수 있는 방향으로 정렬되어 있을 경우이고, 반대 방향으로 정렬되어 있다면 반대의 논의로 이해를 하면 된다. 상대적으로 두꺼운 자화층을 한번에 뒤집는 것보단 두꺼운 자화층이 한 층 한 층 차례로 뒤집히는 것이 더 적은 field에서 뒤집힐 것으로 예상할 수 있고 그에 대한 결과가 위 그림에서 보여진다. 이 데이터는 실험적인 데이터와 꽤나 잘 맞는다.
하지만 여기서 의문점은 AFM layer와 FM layer 사이의 exchange coupling coefficient이다. 본 연구에선 일반적인 3d transition metal 구조에서의 exchange coupling coefficient를 사용하였는데, 사실 이걸 그대로 2d 구조에 적용을 시킬 수 있을지는 의문이다. Interlayer interaction이 작고 interface가 확연히 구분된다는 것이 2차원 소재의 장점인데, interface에서 일어나는 효과인 exchange bias를 3d 구조에서의 coefficient를 그대로 적용하는 것이 적절해 보이진 않는다. 이는 곧 2차원 소재에서의 exchange bias의 origin에 대해 후속 연구가 더 필요하다는 것을 의미한다.
작성 지유빈
E-mail : yubin1007@kaist.ac.kr
참석자(ZOOM seminar): 박민규, 원운재, 박재현, 이택현, 김현규, 박지호, 이근희, 유무진, 송무준, 양지석