
본 논문은 synthetic antiferromagnet 에서의 spin wave를 측정한 결과를 다루고 있다. 사용한 샘플과 패턴 형태는 아래와 같다.

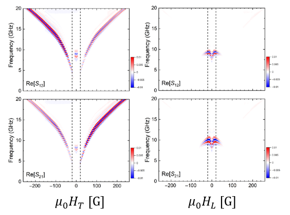
샘플 구조는 CoFeB(15)/Ru(0.6)/CoFeB(15) 구조로 RKKY interaction에 의해 두 magnetic layer가 antiferromagnetically coupling 되어 있는 상태이다. 위 그림과 같이 Cr(5)/Au(100) 구조의 antenna 구조를 E-beam litho 하여 샘플 위에 증착하였고 antenna 와 샘플 사이에는 SiO2(80)를 쌓아 insulation 시켰다. 두 antenna 사이 거리는 10 μm 이고 외부 자기장을 고정한 채로 VNA를 통해 S-parameter 측정을 시도하였고 그 결과는 아래와 같다.

위 결과를 보면 외부 자기장이 wire 길이 방향에 수직하게 가해진 결과와 평행하게 가해진 결과가 극명하게 다른 것을 관찰할 수 있다. 수직하게 가한 경우 acoustic mode가 잘 관찰되었으며 평행하게 가한 경우 optic mode가 잘 관찰되었다. 이는 외부 자기장이 가해지는 방향과 spin wave mode에 따라 group velocity의 변화가 극명하기 때문으로, 아래와 같은 v_g=dω/dk 의 자기장 의존성에 의해 설명될 수 있다. H_L이 가해졌을 때 자기장 세기가 커질수록 optic mode의 dω/dk 값은 작아지게 되고 이는 wave가 잘 전달되지 않는 것을 의미한다. 즉, 외부 자기장이 커지면 optical mode 관찰이 어려워지는 것이다. H_T의 경우에도 마찬가지 논리 전개를 적용해볼 수 있고 이 때는 외부 자기장이 커지면 acoustic mode 관찰이 더 쉬워지는 것을 볼 수 있다.

위 결과에서 독특한 점 한 가지를 더 살펴보면, H_T가 가해졌을 때 S_12와 S_21, 즉, wave 진행 방향에 따라 amplitude nonreciprocity가 나타나는 것을 볼 수 있고 H_L가 가해졌을 때 S_12보다 S_21의 frequency가 0.65GHz 더 높게 측정된 것을 확인할 수 있다. 이러한 nonreciprocity는 기존 ferromagnet에서도 살펴볼 수 있으나 수 백 MHz 수준의 frequency shift가 관찰된 적은 없었기 때문에 괄목할만한 결과임을 알 수 있다. 위 결과를 좀 더 자세하게 살펴보면 아래 그래프와 같다.

이와 같은 nonreciprocal frequency shift가 관찰되는 이유를 분석해본 결과 다음과 같은 해석이 적용될 수 있음을 알 수 있었다.

외부 자기장 인가 방향에 따라 위 그림과 같이 잘 측정되는 spin wave mode가 다르고 이 때 형성되는 magnetic dipole field는 그림 C, D와 같이 박스 표시한 영역의 magnetic moment와 평행 혹은 반 평행한 상태를 이루게 된다. 이에 따라 wave의 energy level이 다르게 되고 이를 수식으로 나타내면 다음과 같다.

위 수식을 보면 optical mode의 경우 sgn(k)-dependent frequency가 나타남을 볼 수 있는데 이는 wave의 진행 방향에 따라 frequency가 달라짐을 의미한다.
이러한 현상을 응용하여 아래와 같이 current pulse를 이용한 nonreciprocal frequency shift의 방향성을 제어할 수 있음이 관찰되었다.

H_T 가 가해진 상태에서 위 그림과 같이 state A 와 B 는 degenerated state 이다. 이 때 current pulse 를 가하면 Oersted field 에 의해 state A 와 B 사이를 전환할 수 있게 되고 이에 따라 dipole field 및 magnetic moment 방향이 평행 혹은 반 평행을 이루게 되어 nonreciprocal frequency shift 를 조절할 수 있게 된다. 그 수준은 약 ±0.75GHz 로 기존 ferromagnet 에서 관찰되는 그것에 비해 매우 큰 차이임을 알 수 있다. 사용한 pulse duration 은 100μs 이고 크기에 따른 frequency 전환은 위 그림 D 와 같다.
이러한 특성은 이후 magnonics 분야에 큰 영향을 줄 수 있을 것으로 보인다.
작성 박재현
E-mail : atapjh92@kaist.ac.kr
참석자(ZOOM seminar): 박민규, 원운재, 박재현, 강준호, 이택현, 박지호, 이근희, 유무진, 송무준, 양지석