Publications

JOURNALS

 

   PUBLISHED IN 2020

 

74.  Journal of Magnetics (2020) 

Geun-Hee Lee and Kab-Jin Kim 
 "Optimizing the Geometry of Chiral Magnetic Logic Devices"

Selected as a cover article, "Editor's choice"

국문 해설 보기
 

73.  Nature Materials (2020) 

Changsoo Kim, Soogil Lee, Hyun-Gyu Kim, Ji-Ho Park, Kyung-Woong Moon, Jae Yeol Park, Jong Min Yuk, Kyung-Jin Lee, Byong-Guk Park, Se Kwon Kim, Kab-Jin Kim and Chanyong Hwang  
 "Distinct handedness of spin wave across the compensation temperatures of ferrimagnets"

국문 해설 보기
 

72.  NPG Asia Materials 12, 44 (2020) 

Jun-Ho Kang, Soogil Lee, Taek-Hyeon Lee, Ji-Seok Yang, Jae Wook Lee, Cheong Cheon Tae, Jong-Ryul Jeong, Seung-Young Park, Byong-Guk Park and Kab-Jin Kim  
 "Control of electrical resistance and magnetoresistance by electric-field-driven oxygen ion migration in a single GdOx wire"

국문 해설 보기
 

71.  Journal of Magnetism and Magnetic Materials 511, 166999 (2020) 

Takuya Taniguchi, Tomohiro Koyama, Kyoung-Hoon Kim, Daichi Chiba, Kab-Jin Kim and Teruo Ono  
 "Observation of domain wall segment jump among disorders"

국문 해설 보기
 

70.  Applied Physics Express 13, 063002 (2020) 

Moojune Song, Kyoung-Woong Moon, Seungmo Yang, Chanyong Hwang and Kab-Jin Kim  
 "Guiding of dynamic skyrmions using chiral magnetic domain wall"

Selected as "Spotlight 2020"

국문 해설 보기
 

   PUBLISHED IN 2019

 

69.  Sensors and Materials 31, 3007 (2019) 

Ryo Nakamura, Shunya Saegusa, Satoru Suzuki, Aiko Nakao, Yuichi Utsumi, Takuo Ohkochi, Masaki Oura, Yukako Takizawa, Tsunemasa Saiki, Taekhyeon Lee, Kab-Jin Kim, Keisuke Yamada, Takeshi Ogasawara and Akinobu Yamaguchi  
 "Magnetic Scattering in Ni Wires Fabricated on Ferroelectric LiNbO3 Substrate for Magnetic Sensor Application"

국문 해설 보기
 

68.  Applied Physics Express 12, 093001 (2019) 

Takaya Okuno, Se Kwon Kim, Takahiro Moriyama, Duck-Ho Kim, Hayato Mizuno, Tetsuya Ikebuchi, Yuushou Hirata, Hiroki Yoshikawa, Arata Tsukamoto, Kab-Jin Kim, Yoichi Shiota, Kyung-Jin Lee and Teruo Ono  
 "Temperature dependence of magnetic resonance in ferrimagnetic GdFeCo alloys"

국문 해설 보기
 

67.  Nature Electronics 2, 389 (2019) 

Takaya Okuno, Duck-Ho Kim, Se-Hyeok Oh, Se Kwon Kim, Yuushou Hirata, Tomoe Nishimura, Woo Seung Ham, Yasuhiro Futakawa, Hiroki Yoshikawa, Arata Tsukamoto, Yaroslav Tserkovnyak, Yoichi Shiota, Takahiro Moriyama, Kab-Jin Kim, Kyung-Jin Lee & Teruo Ono  
 "Spin-transfer torques for domain wall motion in antiferromagnetically coupled ferrimagnets"

국문 해설 보기
 

66.  Applied Physics Express 12, 063001 (2019) 

Kab-Jin Kim, Tian Li, Sanghoon Kim, Takahiro Moriyama, Tomohiro Koyama, Daichi Chiba, Kyung-Jin Lee, Hyun-Woo Lee and Teruo Ono  
 "Possible contribution of high-energy magnons to unidirectional magnetoresistance in metallic bilayers"

국문 해설 보기
 

65.  Applied Physics Express 12, 053006 (2019) 

Kab-Jin Kim, Masahito Mochizuki, and Teruo Ono  
 "Prediction of topological Hall effect in a driven magnetic domain wall"

국문 해설 보기
 

64.  Physical Review Letter 122, 127203 (2019) 

Duck-Ho Kim, Takaya Okuno, Se Kwon Kim, Se-Hyeok Oh, Tomoe Nishimura, Yuushou Hirata, Yasuhiro Futakawa, Hiroki Yoshikawa, Arata Tsukamoto, Yaroslav Tserkovnyak, Yoichi Shiota, Takahiro Moriyama, Kab-Jin Kim, Kyung-Jin Lee, and Teruo Ono  
 "Low Magnetic Damping of Ferrimagnet GdFeCo Alloys"

국문 해설 보기
 

63.  Physical Review Applied 11, 024027 (2019) 

Moojune Song, Kyoung-Woong Moon, Chanyong Hwang, and Kab-Jin Kim  
 "Omnidirectional Spin-Wave Array Antenna"

국문 해설 보기
 

62.  Japanese Journal of Applied Physics 58, 023001 (2019) 

Takuo Ohkochi, Kab-Jin Kim, Sanghoon Kim, Yoko Yoshimura, Hironobu Tanigawa, Norikazu Ohshima, Tomohiro Koyama, Masato Kotsugi, Daichi Chiba, Teruo Ono, and Toyohiko Kinoshita  
 "Real-space and pulse-by-pulse analysis of domain wall creep induced by spin-Hall torque"

 

   PUBLISHED IN 2018

 

61.  Physical Review B 97, 220403(R) (2018) 

Yuushou Hirata, Duck-Ho Kim, Takaya Okuno, Tomoe Nishimura, Dae-Yun Kim, Yasuhiro Futakawa, Hiroki Yoshikawa, Arata Tsukamoto, Kab-Jin Kim, Sug-Bong Choe, and Teruo Ono  
 "Correlation between compensation temperatures of magnetization and angular momentum in GdFeCo ferrimagnets"

 

60.  Applied Physics Express 11, 063001 (2018) 

Yuushou Hirata, Duck-Ho Kim, Takaya Okuno, Tomoe Nishimura, Yasuhiro Futakawa, Hiroki Yoshikawa, Wooseung Ham, Sanghoon Kim, Arata Tsukamoto, Yoichi Shiota, Takahiro Moriyama, Kab-Jin Kim, Teruo Ono  
 "Effect of depinning field on determination of angular-momentum-compensation temperature of ferrimagnets"

 

59.  Journal of the Korean Magnetics Society 28, 75 (2018) 

Sanghoon Kim, Duck-Ho Kim, June-Seo Kim, Kyoung-Woong Moon, Ki-Suk Lee, Sug-Bong Choe, Kab-Jin Kim  
 "Basic Principles and Recent Progress of Magnetization Dynamics"

 

58.  Nature Communications 9, 1648 (2018) 

Sanghoon Kim, Kohei Ueda, Gyungchoon Go, Peong-Hwa Jang, Kyung-Jin Lee, Abderrezak Belabbes, Aurelien Manchon, Motohiro Suzuki, Yoshinori Kotani, Tetsuya Nakamura, Kohji Nakamura, Tomohiro Koyama, Daichi Chiba, Kihiro. T. Yamada, Duck-Ho Kim, Takahiro Moriyama, Kab-Jin Kim, Teruo Ono  
 "Correlation of the Dzyaloshinskii–Moriya interaction with Heisenberg exchange and orbital asphericity"

 

57.  Physical Review Letters 120, 157203 (2018) 

K. T. Yamada, M. Suzuki, A.-M. Pradipto, T. Koyama, S. Kim, K.-J. Kim, S. Ono, T. Taniguchi, H. Mizuno, F. Ando, K. Oda, H. Kakizakai, T. Moriyama, K. Nakamura, D. Chiba and T. Ono  
 "Microscopic Investigation into the Electric Field Effect on Proximity-Induced Magnetism in Pt"

 

56.  Nature Materials 17, 509 (2018) 

Seung-heon C. Baek, Vivek P. Amin, Young-Wan Oh, Gyungchoon Go, Seung-Jae Lee, Geun-Hee Lee, Kab-Jin Kim, M.D. Stiles, Byong-Guk Park, Kyung-Jin Lee  
 "Spin currents and spin-orbit torques in ferromagnetic trilayers"

 

55.  Applied Physics Express 11, 036601 (2018) 

Motohiro Suzuki, Kab-Jin Kim, Sanghoon Kim, Hiroki Yoshikawa, Takayuki Tono, Kihiro T. Yamada, Takuya Taniguchi, Hayato Mizuno, Kent Oda, Mio Ishibashi, Yuushou Hirata, Tian Li, Arata Tsukamoto, Daichi Chiba, and Teruo Ono  
 "Three-dimensional visualization of magnetic domain structure with strong uniaxial anisotropy via scanning hard X-ray microtomography"

 

   PUBLISHED IN 2017

 

54.  Physical Review Letters 119, 267204 (2017) 

Takahiro Moriyama, Michinari Kamiya, Kent Oda, Kensho Tanaka, Kab-Jin Kim, and Teruo Ono  
 "Magnetic Moment Orientation-Dependent Spin Dissipation in Antiferromagnets"

 

53.  Scientific Reports 7, 13993 (2017) 

Takayuki Shiino, Kab-Jin Kim, Ki-Suk Lee, and Byong-Guk Park  
 "Inertia-driven resonant excitation of a magnetic skyrmion"

 

52.  Physical Review B 96, 100407 (2017) 

Se-Hyeok Oh, Se Kwon Kim, Dong-Kyu Lee, Gyungchoon Go, Kab-Jin Kim, Teruo Ono  
 "Coherent terahertz spin-wave emission associated with ferrimagnetic domain wall dynamics"

 

51.  Nature Materials 16, 1187 (2017) 

Kab-Jin Kim, Se Kwon Kim, Yuushou Hirata, Se-Hyeok Oh, Takayuki Tono, Duck-Ho Kim, Takaya Okuno, Woo Seung Ham, Sanghoon Kim, Gyoungchoon Go, Yaroslav Tserkovnyak, Arata Tsukamoto, Takahiro Moriyama, Kyung-Jin Lee and Teruo Ono  
 "Fast domain wall motion in the vicinity of the angular momentum compensation temperature of ferrimagnets"

 

50.  Applied Physics Letters 110, 242405 (2017) 

Woo Seung Ham, Sanghoon Kim, Duck-Ho Kim, Kab-Jin Kim, Takaya Okuno, Hiroki Yoshikawa, Arata Tsukamoto, Takahiro Moriyama, and Teruo Ono  
 "Temperature dependence of spin-orbit effective fields in Pt/GdFeCo bilayers"

 

49.  Applied Physics Express 10, 073006 (2017) 

Sanghoon Kim, Seung-heon Chris Baek, Mio Ishibashi, Kihiro Yamada, Takuya Taniguchi, Takaya Okuno, Yoshinori Kotani, Tetsuya Nakamura, Kab-Jin Kim, Takahiro Moriyama, Byong-Guk Park and Teruo Ono  
 "Contributions of Co and Fe orbitals to perpendicular magnetic anisotropy of MgO/CoFeB bilayers with Ta, W, IrMn, and Ti underlayers"

 

48.  Japanese Journal of Applied Physics 56, 0802A4 (2017) 

Kab-Jin Kim, Yoko Yoshimura, and Teruo Ono  
 "Current-driven magnetic domain wall motion and its real-time detection"

 

47.  Applied Physics Express 10, 073001 (2017) 

Tian Li, Sanghoon Kim, Seung-Jae Lee, Seo-Won Lee, Tomohiro Koyama, Daichi Chiba, Takahiro Moriyama, Kyung-Jin Lee, Kab-Jin Kim, and Teruo Ono  
 "Origin of threshold current density for asymmetric magnetoresistance in Pt/Py bilayers"

 

46.  Physical Review B 95, 220402(R) (2017) 

Sanghoon Kim, Peong-Hwa Jang, Duck-Ho Kim, Mio Ishibashi, Takuya Taniguchi, Takahiro Moriyama, Kab-Jin Kim, Kyung-Jin Lee, and Teruo Ono  
 "Magnetic droplet nucleation with a homochiral Néel domain wall"

 

45.  Applied Physics Express 10, 043002 (2017) 

Kab-Jin Kim, Yoko Yoshimura, Woo Seung Ham, Rick Ernst, Yuushou Hirata, Tian Li, Sanghoon Kim, Takahiro Moriyama, Yoshinobu Nakatani, and Teruo Ono  
 "energy-efficient writing scheme for magnetic domain-wall motion memory"

 

44.  Applied Physics Express 10, 013004 (2017) 

Kihiro T. Yamada, Tomohiro Koyama, Haruka Kakizakai, Kazumoto Miwa, Fuyuki Ando, Mio Ishibashi, Kab-Jin Kim, Takahiro Moriyama, Shimpei Ono, Daichi Chiba, and Teruo Ono  
 "Electrical control of superparamagnetism"

 

    PUBLISHED IN 2016

 

43.  Japanese Journal of Applied Physics 55, 080308 (2016) 

Takaya Okuno, Takuya Taniguchi, Sanghoon Kim, Seung-heon Chris Baek, Byong-Guk Park, Takahiro Moriyama, Kab-Jin Kim, and Teruo Ono  
 "Temperature dependence of spin Hall magnetoresistance in W/CoFeB bilayer"

 

42.  Applied Physics Express 9, 073001 (2016) 

Takaya Okuno, Kab-Jin Kim, Takayuki Tono, Sanghoon Kim, Takahiro Moriyama, Hiroki Yoshikawa, Arata Tsukamoto, and Teruo Ono  
 "Temperature dependence of magnetoresistance in GdFeCo/Pt heterostructure"

 

41.  Japanese Journal of Applied Physics 55, 070304 (2016) 

Kent Oda, Takahiro Moriyama, Masashi Kawaguchi, Michinari Kamiya, Kensho Tanaka, Kab-Jin Kim, and Teruo Ono  
 "Exchange bias controlled by electric current:Interplay of Joule heating and the induced field"

 

40.  Applied Physics Letters 109, 022401 (2016) 

F. Ando, H.Kakizakai, T. Koyama, K. Yamada, M. Kawaguchi, S. Kim, Kab-Jin Kim, T. Moriyama, D. Chiba, and T. Ono  
 "Modulation of the magnetic domain size induced by an electric field"

 

39.  APL Materials 4, 032504 (2016) 

Kab-Jin Kim, Y. Yoshimura, T. Okuno, T. Moriyama, S.-W. Lee, K.-J. Lee, Y. Nakatani and T. Ono  
 "Observation of asymmetry in domain wall velocity under transverse magnetic field"

 

38.  Scientific Reports 6, 23933 (2016) 

Y. H. Choi, Y. Yoshimura, Kab-Jin Kim, K. Lee, T. W. Kim, T. Ono, C.-Y. You, and M. H. Jung  
 "Field-driven domain wall motion under a bias current in the creep and flow regimes in [CoSiB/Pt]Nnanowires"

 

37.  Applied Physics Express 9, 063004 (2016) 

H.Kakizakai, F. Ando, T. Koyama, K. Yamada, M. Kawaguchi, S. Kim, Kab-Jin. Kim, T. Moriyama, D. Chiba, and T. Ono  
 "Switching local magnetization by electric-field-induced domain wall motion"

 

36.  Nature Physics 7, 157 (2016) 

Yoko Yoshimura, Kab-Jin Kim, Takuya Taniguchi, Takayuki Tono, Kohei Ueda, Ryo Hiramatsu, Takahiro Moriyama, Keisuke Yamada, Yoshinobu Nakatani, and Teruo Ono  
 "Soliton-like magnetic domain wall motion induced by the interfacial Dzyaloshinskii-Moriya interaction"

 

    PUBLISHED IN 2015

 

35.  Applied Physics Letters 107, 122403 (2015) 

T. Moriyama, N. Matsuzaki, Kab-Jin Kim, I. Suzuki, T. Taniyama, and T. Ono  
 "Sequential write-read operations in FeRh antiferromagnetic memory"

 

34.  Japanese Journal of Applied Physics 54, 073002 (2015) 

Noriko Matsuzaki, Takahiro Moriyama, Masaki Nagata, Kab-Jin Kim, Ippei Suzuki, Tomoyasu Taniyama, and Teruo Ono  
 "Current induced antiferro–ferromagnetic transition in FeRh nanowires"

 

33.  Applied Physics Express 8, 073008 (2015) 

Takuya Taniguchi, Kab-Jin Kim, Takayuki Tono, Takahiro Moriyama, Yoshinobu Nakatani, and Teruo Ono  
 "Precise control of magnetic domain wall displacement by a nanosecond current pulse in Co/Ni nanowires"

 

32.  Applied Physics Express 8, 073004 (2015) 

Takuya Taniguchi, Kab-Jin Kim, Takayuki Tono, Sanghoon Kim, Takahiro Moriyama, and Teruo Ono  
 "Dimensional crossover characterized by distribution of magnetic domain wall creep velocity"

 

31.  Applied Physics Express 8, 073001 (2015) 

Takayuki Tono, Takuya Taniguchi, Kab-Jin Kim, Takahiro Moriyama, Arata Tsukamoto, and Teruo Ono  
 "Chiral magnetic domain wall in ferrimagnetic GdFeCo wires"

 

30.  Physical Review B 91, 060405 (2015) 

K. Ueda, Kab-Jin Kim, T. Taniguchi, T. Tono, T. Moriyama, and T. Ono  
 "In-plane field-driven crossover in the spin-torque mechanism acting on magnetic domain walls in Co/Ni"

 

29.  Japanese Journal of Applied Physics 54, 038004 (2015) 

K. Ueda, R. Hiramatsu, Kab-Jin Kim, T. Taniguchi, T. Tono, T. Moriyama, and T. Ono  
 "Temperature dependence of current-induced magnetic domain wall motion in an asymmetric Co/Ni nanowire"

 

28.  Applied Physics Express 8, 023003 (2015) 

R. Hiramatsu, Kab-Jin Kim, T. Taniguchi, T. Tono, T. Moriyama, S. Fukami, M. Yamanouchi, H. Ohno, Y. Nakatani, and T. Ono  
 "Localized precessional mode of domain wall controlled by magnetic field and dc current"

 

    PUBLISHED IN 2014

 

27.  Japanese Journal of Applied Physics 53, 108001 (2014) 

R. Hiramatsu, K.-J. Kim, Y. Nakatani, T. Moriyama, and T. Ono  
 "Proposal for quantifying the Dzyaloshinsky–Moriya interaction by domain walls annihilation measurement"

 

26.  Applied Physics Express 7, 053006 (2014) 

Kohei Ueda, Kab-Jin Kim, Yoko Yoshimura, Ryo Hiramatsu, Takahiro Moriyama, Daichi Chiba, Hironobu Tanigawa, Tetsuhiro Suzuki, Eiji Kariyada, and Teruo Ono  
 "Transition in mechanism for current-driven magnetic domain wall dynamics"

 

25.  Applied Physics Express 7, 053005 (2014) 

Takuya Taniguchi, Kab-Jin Kim, Yoko Yoshimura, Takahiro Moriyama, Hironobu Tanigawa, Tetsuhiro Suzuki, Eiji Kariyada, and Teruo Ono  
 "Different stochastic behaviors for magnetic field and current in domain wall creep motion"

 

24.  Applied Physics Express 7, 053003 (2014) 

Kab-Jin Kim, Ryo Hiramatsu, Takahiro Moriyama, Hironobu Tanigawa, Tetsuhiro Suzuki, Eiji Kariyada, and Teruo Ono  
 "Tradeoff between low-power operation and thermal stability in magnetic domain-wall-motion devices driven by spin Hall torque"

 

23.  Applied Physics Express 7, 033005 (2014) 

Yoko Yoshimura, Tomohiro Koyama, Daichi Chiba, Yoshinobu Nakatani, Shunsuke Fukami, Michihiko Yamanouchi, Hideo Ohno, Kab-Jin Kim, Takahiro Moriyama, and Teruo Ono  
 "Effect of spin Hall torque on current-induced precessional domain wall motion"

 

22.  Journal of Applied Physics 11, 17D508 (2014) 

S. Fukami, M. Yamanouchi, Y. Nakatani, Kab-Jin Kim, T. Koyama, D. Chiba, S. Ikeda, N. Kasai, T. Ono, and H. "Ohno  
 "Distribution of critical current density for magnetic domain wall motion"

 

    PUBLISHED IN 2013

 

21.  Nature Communicaions 4, 3011 (2013) 

Kab-Jin Kim, Ryo Hiramatsu, Tomohiro Koyama, Kohei Ueda, Yoko Yoshimura, Daichi Chiba, Kensuke Kobayashi, Yoshinobu Nakatani, Shunsuke Fukami, Michihiko Yamanouchi, Hideo Ohno, Hiroshi Kohno, Gen Tatara and Teruo Ono  
 "Two-barrier stability that allows low-power operation in current-induced domain-wall motion"

 

20.  Applied Physics Express 6, 033001 (2013) 

Tomohiro Koyama, Hiroshi Hata, Kab-Jin Kim, Takahiro Moriyama, Hironobu Tanigawa, Tetsuhiro Suzuki, Yoshinobu Nakatani, Daichi Chiba, and Teruo Ono  
 "Current-Induced Magnetic Domain Wall Motion in a Co/Ni Nanowire with Structural Inversion Asymmetry"

 

19.  Current Applied Physics 13, 228 (2013) 

Kab-Jin Kim, Jae-Chul Lee, Kyung-Ho Shin, Hyun-Woo Lee, Sug-Bong Choe  
 "Universal classes of magnetic-field- and electric-current-induced magnetic domain-wall dynamics in one and two dimensional regimes"

 

    PUBLISHED IN 2012

 

18.  Journal of Magnetics 17, 242 (2012) 

Soong-Geun Je, Jae-Chul Lee, Kab-Jin Kim, Byoung-Chul Min, Kyung-Ho Shin, Sug-Bong Choe  
 "Width-Dependent Transition of Magnetic Domain Configuration in Nanostructured CoFe/Pt Multilayered Nanowires"

 

17.  Nature Nanotechnology 7, 635 (2012) 

T. Koyama, K. Ueda, Kab-Jin Kim, Y. Yoshimura, D. Chiba, K. Yamada, J.-P. Jamet, A. Mougin, A. Thiaville, S. Mizukami,  S. Fukami, N. Ishiwata, Y. Nakatani, H. Kohno, K. Kobayashi & T. Ono  
 "Current-induced magnetic domain wall motion below intrinsic threshold triggered by Walker breakdown"

 

16.  Applied Physics Letters 101, 022407 (2012) 

Kab-Jin Kim, D. Chiba, K. Kobayashi, S. Fukami, M. Yamanouchi, H. Ohno, Soong-Geun Je, Sug-Bong Choe, and T. Ono  
 "Observation of magnetic domain-wall dynamics transition in Co/Ni multilayered nanowires"

 

15.  Physical Review Letters 107, 217205 (2012) 

Kab-Jin Kim, Jisu Ryu, Gi-Hong Gim, Jae-Chul Lee, Kyoung-Ho Shin, Hyun-Woo Lee, and Sug-Bong Choe  
 "Electric current effect on energy barrier of magnetic domain wall depinning: Origin of quadratic contribution"

 

14.  Physical Review Letters 107, 067201 (2012) 

Jae-Chul Lee, Kab-Jin Kim, Jisu Ryu, Kyoung-Woong Moon, Kang-Soo Lee, Sang-Jun Yun, Gi-Hong Gim, Kyung-Ho Shin, Hyun-Woo Lee, Sug-Bong Choe  
 "Universality classes of magnetic domain wall motion"

 

13.  IEEE Transactions on Magnetics 47, 2433 (2012) 

Kab-Jin Kim, Sang-Jun Yun,  and Sug-Bong Choe  
 "Novel method for reducing operation current density in magnetic domain wall motion by use of curved wedge nanowire"

 

12.  Nanotechnology 22, 025702 (2012) 

Kab-Jin Kim, Kyoung-Woong Moon, Kang-Soo Lee, and Sug-Bong Choe  
 "Control of magnetic domain-wall polarization by means of angled Oersted-field writing"

 

    PUBLISHED IN 2010

 

11.  Applied Physics Express 3, 083001 (2010) 

Kab-Jin Kim, Jae-Chul Lee, Sang-Jun Yun, Gi-Hong Gim, Kang-Soo Lee, Sug-Bong Choe, and Kyung-Ho Shin  
 "Electric control of multiple domain walls in Pt/Co/Pt nanotrack with perpendicular magnetic anisotropy"

 

    PUBLISHED IN 2009

 

10.  IEEE Transactions on Magnetics 45, 3909 (2009) 

Junyeon Kim, Kab-Jin Kim, and Sug-Bong Choe  
 "Temperature Dependence of Domain-Wall Creep in Pt/CoFe/Pt Films"

 

9.  IEEE Transactions on Magnetics 45, 4056 (2009) 

Kab-Jin Kim, Gi-Hong Gim, Jae-Chul Lee, Sung-Min Ahn, Kang-Soo Lee, Young Jin Cho, Chang-Won Lee, Sunae Seo, Kyung-Ho Shin, and Sug-Bong Choe  
 "Depinning Field at Notches of Ferromagnetic Nanowires With Perpendicular Magnetic Anisotropy"

 

8.  IEEE Transactions on Magnetics 45, 3773 (2009) 

Kab-Jin Kim, Jae-Chul Lee, Young Jin Cho, Chang-Won Lee, Kyung-Ho Shin, Sunae Seo, Kyung-Jin Lee, Hyun-Woo Lee, and Sug-Bong Choe  
 "Current-Induced Domain-Wall Motion in CoFe/Pt (5) Nanowire With Perpendicular Magnetic Anisotropy"

 

7.  IEEE Transactions on Magnetics 45, 3543 (2009) 

Jae-Chul Lee, Kab-Jin Kim, Chang-Won Lee, Young Jin Cho, Sunae Seo, Chun-Yeol You, Kyung-Ho Shin, and Sug-Bong Choe  
 "Superparamagnetic Behavior of Pt/CoFe/Pt Nanowires With Decreasing Wire Width"

 

6.  Journal of Magnetics 14, 101 (2009) 

Kab-Jin Kim, Jae-Chul Lee, and Sug-Bong Choe  
 "Current-Driven Domain-Wall Depinning in Pt/CoFe/Pt Nanowires with Perpendicular Magnetic Anisotropy"

 

5.  Journal of Magnetism and Magnetic Materials 321, 2197 (2009) 

Kab-Jin Kim, and Sug-Bong Choe  
 "Analytic theory of wall configuration and depinning mechanism in magnetic nanostructure with perpendicular magnetic anisotropy"

 

4.  Nature 458, 740 (2009) 

Kab-Jin Kim, Jae-Chul Lee, Sung-Min Ahn, Kang-Soo Lee, Chang-Won Lee, Young Jin Cho, Sunae Seo, Kyung-Ho Shin, Sug-Bong Choe, and Hyun-Woo Lee  
 "Interdimensional universality of dynamic interfaces"

 

    PUBLISHED IN 2008

 

3.  Journal of Magnetics 13, 136 (2008) 

Kab-Jin Kim, Chun-Yeol You, and Sug-Bong Choe  
 "Numerical Formula of Depinning Fields from Notches in Ferromagnetic Permalloy Nanowire"

 

2.  IEEE Transactions on Magnetics 44, 2531 (2008) 

Seon Ock Kim, Woo Jin Kim, Kab-Jin Kim, Sug-Bong Choe, Young Man Jang, Seung Ha Yoon, Beong Ki Cho, and Taek Dong Lee  
 "Experimental Study of Thermally Activated Magnetization Reversal With a Spin-Transfer Torque in a Nanowire"

 

1.  Applied Physics Letters 92, 192509 (2008) 

Kab-Jin Kim, Jae-Chul Lee, Sug-Bong Choe, and Kyung-Ho Shin  
 "Joule heating in ferromagnetic nanowires: Prediction and observation"

 

 

Optimizing the Geometry of Chiral Magnetic Logic Devices

Geun-Hee Lee and Kab-Jin Kim

Selected as a cover article, "Editor's choice"

 



카이랄 자구벽 (Chiral magnetic domain wall) 논리 소자 및 구조에 따른 소자 동작 여부에 관한 연구


많은 과학자 및 공학자들이 최근 주목하고 있는 인공지능 (artificial intelligent) 및 기계학습 (machine learning) 분야는 분석을 위해 많은 양의 데이터가 필요하고, 이를 정제해야 한다. 현재의 컴퓨터 아키텍처 (architecture)는 메모리 (memory)와 프로세서 (processor)가 구분되어 있고 버스 (bus)를 통해 데이터를 주고 받는데, 두 소자가 데이터에 접근하는 속도가 각각 달라서 대용량의 데이터를 처리할 때 속도에 문제가 생긴다. 이러한 현상을 ‘폰 노이만 병목현상’ (von Neumann bottleneck) 이라 부르는데, 이를 해결하기 위해 “메모리에 프로세서를 넣자!” (Process in Memory, PiM) 라는 해결책을 놓게 된다.


PiM은 어떤 메모리 소자에 넣는 것이 좋을까? 병목현상이 생길 때는 많은 데이터를 불러오거나 처리할 때 생기므로, 저장용량이 작은 메모리 소자에는 큰 성능 향상을 만들기 어려울 것이다. 대용량 저장 장치로는 가격과 대기전력면에서 가장 우수한 하드디스크 (Hard Disk Drive, HDD)가 있는데, 기본적으로 자성 도메인을 가지고 데이터를 저장한다. HDD는 head 가 기계적으로 회전하면서 데이터를 읽고 쓰는데, 이 부분에서 많은 에너지를 소모한다. 이를 전기적으로 바꾸고자 제안한 것이 ‘racetrack memory’ 이다. 기계적인 회전을 전류를 통한 자구벽 (Magnetic Domain Wall, DW) 이동으로 바꾸자는 아이디어인데, 소비전력 및 기계적 안정성 면에서 HDD 보다 우수할 것으로 예상하고 있다.


이러한 (전류 인가) DW 이동을 이용한 메모리에 프로세서를 설치하려면, 프로세서 역시 DW 이동을 통해 연산을 진행하는 것이 가장 좋을 것이다. 최근까지 스핀-궤도 토크 (spin-orbit torque, SOT) DW 이동을 통한 논리 연산은 제안 및 구현된 바 없으나, 본 연구 결과가 마무리 될 때쯤 ETH Zurich 에서 실험적으로 이를 구현했다는 보고가 나왔다 [1]. 아이디어가 거의 같아 참 아쉽지만, 해당 논문에서 조금 놓친 부분을 보충하여 논문을 작성할 수 있었다.


소자 동작을 이해하기 위해, 먼저 전류 인가 DW 이동에 대해 이해할 필요가 있다. 강자성체 (FM) – 중금속 (HM) 이종 접합 구조에서 중금속층 혹은 계면의 스핀류 (spin current) 가 자성층으로 유입되고 자화에 토크를 주게 되는데, 이것이 위에서 잠깐 이야기한 SOT 이다. 이 스핀 토크는 자성 제어에 꽤 효율적인 것으로 알려져 있어 많은 연구가 되고 있다. 이러한 토크는 자성 구조체인 DW 역시 움직일 수 있다는 것이 잘 알려져 있다.


한편 SOT 에 의한 DW 이동을 실현하려면 자성체에는 쟈로신스키-모리야 상호작용 (Dzyaloshinskii-Moriya Interaction, DMI) 이 있어야하고, 이 상호작용은 자성체가 특정 방향의 꼬인 구조를 에너지적으로 안정하게 만들어준다. 이러한 이유로, DMI 가 있는 상황에서 DW은 벽면에 수직인 방향 (Neél type)을 선호하게 된다. 이러한 현상은 수직 자기이방성을 낮춰 DW의 두께를 늘려도 계속 유지된다. 향후 편의를 위해 자성 띠 (magnetic wire) 방향을 x, 띠 두께 (wire width) 방향을 y, 필름 수직 방향을 z라고 하고, 이를 기준으로 편각 (polar angle) 및 방위각 (azimuthal angle) 을 정의하겠다. 즉 DMI 가 있는 상황에서, 수직 자구의 DW은 π/2 의 polar angle 을 가지고, 0 또는 π 의 azimuthal angle 을 가진다.


DW 반전기 (DW Inverter, NOT gate) 를 만들기 위해 가장 중요한 요소는 국소적으로 수평 자기이방성 (In-plane Magnetic Anisotropy, IMA)을 가지는 영역이 존재해야 한다는 것이다. IMA를 가진 영역을 가운데로 두고, 꼬인 구조를 선호하는 DMI로 인해, Up-Left-Down 혹은 Down-Right-Up 자구 구조가 에너지적으로 유리한 점을 가질 수 있다 [2]. 즉 Up(1)을 Down(0)으로, 0을 1로 바꿀 수 있는 구조라는 것이다! Input을 1에서 0, 또는 0에서 1로 바꾸는 switching을 DW 이동을 통해 할 수 있다는 사실과, switching 과정에서 output 이 연속적으로 바뀐다는 것을 (직접 코딩한) 미소 자기 전산모사 (micro-magnetic simulation)를 통해 확인할 수 있었다. [FIG.1]


FIG 1. DW NOT gate 의 동작

당연한 이야기겠지만, 모든 소자에는 작동 범위가 존재한다. 이를 알아보기 위해, 본 연구에서는 소자에 인가하는 전류 밀도를 고정한 채로 wire width, IMA 영역 및 DMI strength 를 바꾸면서 소자 동작을 테스트하였다. 결과를 간단하게 요약하면, 소자의 DMI strength 가 주어지면 동작할 수 있는 IMA 영역의 길이가 거의 정해지고, 이 값이 커질수록 소자가 성공적으로 작동하는 IMA 길이의 범위가 넓어진다는 것이다. [FIG.2]


FIG 2. DW NOT gate 의 동작 조건

위의 작동 범위에 대한 연구를 토대로, 우리는 DW NOT gate 의 작동 원리를 파악할 수 있었다. 먼저 switching 을 위해 DW이 생기고, SOT에 의해 이동을 한다. 이동을 하다가 IMA 영역에 도달하면, SOT는 DW을 밀려고 하고, DMI는 꼬인 구조 (Down-Right-Up-Left-Down)를 유지하려고 하며, 정자기 상호작용 (magneto-static interaction)은 수직 자구가 IMA 영역에 들어오는 것을 막으려 한다. 이러한 상호작용의 competition이 임계 구동 전류를 결정한다. 이후 수직 자구가 IMA 영역에 들어오면 IMA 내에서 DW을 형성하는데, DMI 와 magneto-static interaction 에 의해서 DW 자화는 0 과 π/2 사이의 polar angle 을 갖는다. IMA 영역이 길어서 DMI 가 상대적으로 약해지게 되면 DW 자화는 π/2 에 가까운 polar angle 및 azimuthal angle 을 갖게 되고, 이는 SOT로 자화에 효율적인 토크를 주지 못함을 뜻한다. 즉 넓은 IMA 영역에서는 해당 영역에 생긴 DW을 밀지 못해서 동작이 불가능해진다. 이러한 사실을 종합해 볼 때, NOT gate 동작을 위해서 (i) DW을 IMA에 넣는 것, (ii) IMA 영역에서 DW 이동이 가능하게 하는 것 두가지가 중요하다는 것을 알 수 있다.


일반적인 논리학 이론에서, NAND 및 NOR 소자만으로 모든 Boolean logic 을 만들어 낼 수 있다는 사실은 잘 알려져 있다. 그래서 NAND 및 NOR 소자를 만드는 것이 중요한데, NOT gate 2개를 붙여서 reconfigurable NAND, NOR 소자를 만들 수도 있다는 것을 전산모사를 통해 증명하였다. 소자 모양은 아래 그림 [FIG.3]과 같은데, (1,0) 혹은 (0,1) input 이 들어오면 한 방향의 chirality 를 유지할 수 없다. 그래서 이러한 대칭성을 깰 수직 방향의 편향 자기장 (bias magnetic field) 가 소자 동작에 필요하다. 이 bias field 의 방향이 윗 방향일 때는 NOR gate, 아랫 방향일 때는 NAND gate 로써 동작한다.


FIG 3. Reconfigurable NAND, NOR gate

위에서 설명한 것들이 논문의 주요 내용이고, 소비 전력은 어느정도, bias magnetic field 나 국소적인 IMA를 어떻게 바꾸어야 하는 것들은 논문의 마지막 부분에 언급이 되어 있다. 자세한 내용은 논문을 참고하기를 바란다.


결과적으로 ETH Zurich 의 Gambardella 그룹에서 (실험까지 다 해서) 논문이 먼저 나와 아쉬웠지만, 남는 것이 아주 없지는 않았다. DW motion에 대한 공부도 많이 되었고, 국내 및 PCT 국제 특허에 출원도 된 상태 (10-2020-0011870 & PCT/KR2020/006967, ‘자구벽 논리소자 및 이의 제조방법’)이며, Journal of Magnetics 에 표지논문으로 개제가 되어서 불행 중 다행이라 생각한다. 마지막으로, 연구를 같이 진행한 교수님과, 도움을 주신 많은 분들께 감사의 인사를 전하며 해설을 마치도록 하겠다.


References:
[1] Z. Luo et al. Nature 579, 214 (2020)
[2] Z. Luo et al. Science 363, 1435 (2019)

저자 이근희
E-mail : ghlee0001@kaist.ac.kr


To cite this article:
G.-H.Lee and K.-J.Kim, Optimizing the Geometry of Chiral Magnetic Logic Devices, J. Magn. 25(2), 150-156 (2020)
DOI:
https://doi.org/10.4283/JMAG.2020.25.2.150

Distinct handedness of spin wave across the compensation temperatures of ferrimagnets

Changsoo Kim, Soogil Lee, Hyun-Gyu Kim, Ji-Ho Park, Kyung-Woong Moon, Jae Yeol Park, Jong Min Yuk, Kyung-Jin Lee, Byong-Guk Park, Se Kwon Kim, Kab-Jin Kim and Chanyong Hwang

 


준비중입니다.

저자 이수길
E-mail : lee.soogil.83@kaist.ac.kr


To cite this article:
Kim, C., Lee, S., Kim, H. et al. Distinct handedness of spin wave across the compensation temperatures of ferrimagnets. Nat. Mater. (2020). https://doi.org/10.1038/s41563-020-0722-8
DOI:
https://doi.org/10.1038/s41563-020-0722-8

Control of electrical resistance and magnetoresistance by electric-field-driven oxygen ion migration in a single GdOx wire

Jun-Ho Kang, Soogil Lee, Taek-Hyeon Lee, Ji-Seok Yang, Jae Wook Lee, Cheong Cheon Tae, Jong-Ryul Jeong, Seung-Young Park, Byong-Guk Park and Kab-Jin Kim

 



자석은 N극과 S극으로 이루어져 있고, 이 극성은 외부 자기장의 인가를 통해 뒤집어질 수 있다. 스핀트로닉스란 이러한 자성을 전자의 스핀을 활용하여 제어하는 것을 목표로 한다. 전자의 스핀을 자석에 주입하게 되면, 각운동량 보존법칙에 의해 자화 동역학이 발생하게 된다. 이를 잘 활용하면 자석의 극성을 뒤집을 수도 있고, 특정한 주파수로 자화를 떨게 만들 수도 있다. 자화의 동역학은 스핀류의 크기뿐만 아니라, 자성의 내재적인 특성에도 의존한다. 자화를 수직한 방향으로 눕히는데 필요한 에너지(자기 이방성 에너지)는 이와 관련하여 가장 중요한 파라미터중 하나이다. 이러한 특성을 전기적으로 제어하는 것은 자성소자에서 중요한 이슈가 되고 있다. 예를들어, 자기 이방성 조절을 통해 자화가 떠는 속도를 제어할 수 있게 되거나, 자화가 반전되기 위하여 필요한 스핀류의 양이 달라질 수 있기 때문이다.


그렇다면 어떻게 자성을 제어할 수 있을까? 자성은 전자의 스핀으로부터 발생하니 전자의 특성을 제어하면 될 것이다. 바로 떠오르는 생각은 반도체에서 많이 사용하는 게이팅 방법이다. 물질에 전기장을 인가하여 전자의 개수를 조절할 수 있었다. 하지만 이쪽 분야에서 사용하는 자성물질은 대부분 금속 물질 이므로, 높은 자유전자 밀도로 인해 전기장을 효과적으로 인가하는 것이 어렵다. 이러한 상황에서, 2015년도에 어느 연구 그룹은 중요한 연구 결과를 발표하였다. 바로, 산소이온을 물질에 주입하고 꺼내는 방법을 사용하여 자성특성을 제어하는 것이었다. 그들은 가돌리늄 산화물을 사용하여 자성체인 코발트에 산소를 주입하여 수직 자기이방성을 갖고 있는 물질을 수평 자기이방성을 갖게 만들었다.


우리는 가돌리늄이 자성체라는 사실에 주목하였다. 따라서, 가돌리늄의 산화도를 조절하면 그 자체로 자성이 조절이 될 것이기 때문이다. 우리는 가돌리늄을 부분적으로 산화시킨 후에 전기장을 걸었더니 급격하게 저항이 변화하는 현상을 발견하였다. 게다가, 이를 현미경으로 관찰하였더니 이온이 움직이는 것을 볼 수 있었다. (지도교수님은 뭐든(야구공, 자구벽 등…) 움직이는 것을 관찰하기를 좋아하시는 분이셔서, 이온의 움직임이 현미경을 통해 보인다는 사실에 상당히 흥미로워 하셨었다.) 또한, 온도를 내려서 가돌리늄의 자성이 발생하는 영역에서 자기저항이 산화정도에 따라서 달라지는 것을 파악하였다.


기존 연구와 달리 본 연구에서는 샘플의 면내방향으로 산소농도 차이를 발생시킬 수 있었다는 점이 흥미로웠다. 이는 추가적으로 다른 연구로 이어질 거리가 많기 때문이다. 예를 들어, 면내방향으로의 대칭성 붕괴에 의한 field-free 전류 구동 자화 반전과 같은 실험을 추가적으로 생각해 볼 수 있을 것이다. 또한, Co나 Fe과 같은 물질을 함께 사용하여 전기적으로 페리자성체의 조성을 조절하는 실험을 생각해 볼 수 있을 것이다.



저자 강준호
E-mail : junho.kang@kaist.ac.kr


To cite this article:
Kang et al. NPG Asia Materials (2020) 12:44
DOI:
https://doi.org/10.1038/s41427-020-0222-y

Observation of domain wall segment jump among disorders

Takuya Taniguchi, Tomohiro Koyama, Kyoung-Hoon Kim, Daichi Chiba, Kab-Jin Kim, Teruo Ono

 



Domain wall segment jump를 관측하다


우리 주변에서 흔히 볼 수 있는 철은 ferromagnet, 즉 강자성체이다. 자석이란 말이다. 자석이라함은 물질 내부의 스핀이 한방향으로 정렬되어 있다는 의미이다. 그런데, 일반인의 대부분은 철을 자석이라고 생각하지 않는다. 왜일까?


철이 자석으로 보이지 않는 이유는 철 내부 자화(스핀) 구조 때문이다. 철의 내부를 들여다보면, 아래 그림과 같이 여러 방향의 자화 구역들로 나누어진다. 이러한 구역을 우리는 자구 (magnetic domain)이라고 한다. 자구 내부에서는 모든 스핀이 같은 방향을 향하지만, 각각의 자구들은 무작위한 방향을 향하게 된다. 따라서, 겉에서 보면 모든 자구 방향이 평균내 져서 전체는 마치 특정방향을 가리키지 않는 것으로 보이는 것이다.



이러한 철의 자구와 자구의 경계를 자구벽(magnetic domain wall)이라고 부른다. 가장 간단한 자구벽은 아래와 같다. 자화가 up방향을 향하고 있는 자구와 자화가 down방향을 향하고 있는 자구의 경계가 바로 자구벽이다.



이러한 자구벽은 현미경으로 쉽게 관찰을 할 수 있다. 실제 자성 박막에서 현미경으로 관찰을 해 보면 아래와 같은 결과를 얻는다. 그림을 보면, up과 down의 경계는 깔끔한 직선이 아니라, 구불구불한 형태를 가진다. 왜 그럴까?



자구벽을 현미경으로 자세히 들여다보면 아래와 같이 그 경계가 구불구불한데, 그 이유는 시료 내부에 존재하는 결함 (pinning)때문이다. 즉, 자구벽이 반듯한 일직선일때보다, 결함들에 걸쳐있는 상태가 에너지적으로 더 안정하기 때문이다. 따라서, 자구벽은 구불구불한 모양을 가지게 되고, 이러한 자구벽은 여러 개의 segment가 연결되어 있는 것과 같다.



이러한 자구벽이 존재해 있는 상태에서, 외부에서 자기장을 가하게 되면 자구벽은 서서히 움직이게 된다 (예를 들어, up방향의 자기장을 주면 up 자구가 확장하게 되고, 그것은 곧 자구벽의 움직임을 의미한다). 자구벽의 움직임을 자세히 들여다보면, 위 그림에서와 같이 각각의 segment가 점프해서 움직여가는 형태가 된다. 이러한 각각의 segment의 움직임이 합쳐져서 전체 자구벽의 움직임이 설명되는 것이다 (100명의 사람이 손을 잡고 달리는 것과 같다. 한사람, 한사람의 움직임이 합쳐져서 전체의 속도가 결정된다. 느린 사람도 있고 빠른 사람도 있을 테니, 100명을 이은 직선은 금방 구불구불해져서 곡선이 될 것이다)


지금까지 이러한 자구벽의 운동은 “이동 속도”를 측정함으로써 이루어졌다. 즉, 시작 지점과 도착지점을 정하고, 그 사이를 움직이는 시간을 측정해서 그 결과를 놓고 분석하는 식이었다. 이렇게 분석을 하면, 자구벽의 속도는 외부 자기장과 특정 관계가 나타나는데, 지금까지는 이런 분석으로 자구벽의 운동을 분석하였다. (다시 예를 들자면, 100명의 사람이 손을 잡고 달릴 때, 100명의 사람 전체가 결승점에 도달하는 시간을 측정하는 것이다) 그런데 자세히 생각해보면, 결국 자구벽의 이동이란 “하나하나의 작은 segment의 이동”이 합쳐진 결과이다. 따라서, 이러한 segment하나하나가 어떻게 움직이는지 알아내는 것도 중요하다.


지금까지 이러한 연구는 제대로 시도되지 못했다. 왜냐하면, segment하나하나가 너무 작아서, 현미경으로 관찰이 어렵기 때문이다 (빛의 파장보다 작기 때문에). 우리는 이러한 한계를 극복하기 위해, 홀 저항을 측정하는 방법으로 DW segement 하나의 이동을 측정하였다. 일반적으로 자성체에서는 비정상 홀 효과가 나타나고, 이를 이용하여 자구벽이 이동할 때 신호를 검출할 수 있다. 우리가 사용한 시료는 Pt/Co/Pt 샘플로서, 높은 비정상 홀 효과를 나타낸다 (정확히 말하면, 높은 신호대잡음비 (Signal to noise ratio)를 나타낸다). 이를 이용하여 DW 내부에 존재하는 하나의 segment가 점프하는 현상을 측정하는데 성공하였다.


이러한 DW segment jump는 우리가 측정한 모든 시료에서 나타났으며, 그 크기는 대략 260 nm x 60 nm정도로 분석되었다. 시료의 크기가 260nm보다 작은 경우에는 이러한 segment jump가 나타나지 않았다. 이로부터, 시료에 존재하는 segment는 260nm정도의 단위를 가지고 있고, 우리가 측정한 것이 정말 DW segment jump라는 것을 확인하였다.


실험적으로 우리가 DW segment jump를 측정하긴 했지만, 아직 풀리지 않은 의문은 있다. DW이라는 것이 작은 segment들의 연결로 나타나긴 할텐데, 그 segment의 길이는 왜 260nm여야 하는가? 우리는 아직 답을 하지 못하고 있다. 누군가가 설명해 주길 기다릴 뿐이다.


저자 김갑진
E-mail : kabjin@kaist.ac.kr


To cite this article:
T. Taniguchi et al. 2020 J. Magn. Magn. Mater 511 166999
DOI:
https://doi.org/10.1016/j.jmmm.2020.166999

Magnetic Scattering in Ni Wires Fabricated on Ferroelectric LiNbO3 Substrate for Magnetic Sensor Application

Ryo Nakamura, Shunya Saegusa, Satoru Suzuki, Aiko Nakao, Yuichi Utsumi, Takuo Ohkochi, Masaki Oura, Yukako Takizawa, Tsunemasa Saiki, Taekhyeon Lee, Kab-Jin Kim, Keisuke Yamada, Takeshi Ogasawara and Akinobu Yamaguchi

 


준비중입니다.

저자 이택현
E-mail : rahon6000@kaist.ac.kr


https://doi.org/10.18494/SAM.2019.2494

Temperature dependence of magnetic resonance in ferrimagnetic GdFeCo alloys

Takaya Okuno, Se Kwon Kim, Takahiro Moriyama, Duck-Ho Kim, Hayato Mizuno, Tetsuya Ikebuchi, Yuushou Hirata, Hiroki Yoshikawa, Arata Tsukamoto, Kab-Jin Kim, Yoichi Shiota, Kyung-Jin Lee and Teruo Ono

 


준비중입니다.

저자 김갑진
E-mail : kabjin@kaist.ac.kr


https://doi.org/10.7567/1882-0786/ab33d5

Spin-transfer torques for domain wall motion in antiferromagnetically coupled ferrimagnets

Takaya Okuno, Duck-Ho Kim, Se-Hyeok Oh, Se Kwon Kim, Yuushou Hirata, Tomoe Nishimura, Woo Seung Ham, Yasuhiro Futakawa, Hiroki Yoshikawa, Arata Tsukamoto, Yaroslav Tserkovnyak, Yoichi Shiota, Takahiro Moriyama, Kab-Jin Kim, Kyung-Jin Lee & Teruo Ono

 


새로운 시스템에서 Spin Transfer Troque가 다시 부활하다
Rediscovery of Spin-Transfer Torque in a new system


“spin transfer torque” 줄여서 STT. 참으로 많은 사람들의 애환이 닮긴 그런 단어. 거의 사라졌던 그 STT가 다시 부활했다.


STT가 등장한 것은 90년대 후반, 그러니까 지금으로부터 약 20년 전이다. 거대자기저항효과 (GMR)이 발견되고 얼마 후, GMR의 반대 효과가 예측되었다. 그 핵심 아이디어는, “전류를 이용해서 자화를 제어할 수 있다”는 것. 그 아이디어의 이면에는 “자석은 전자의 스핀에서 나오니, 그렇다면 자석에 전자의 스핀을 주입하면 자석의 방향이 바뀌어야 하는 것이 아닌가?” 라는 단순한 생각이 자리잡고 있다. 이러한 단순한 생각이 1999년 실험적으로 입증이 되고, 엄청나게 많은 사람들이 STT를 연구하기 시작했다. STT라는 것이 물리적으로 새로운 현상이고, 이러한 현상을 이용하면 아주 효과적으로 자석을 제어할 수 있기 때문에 응용적으로도 아주 가치 있는 그런 현상이었다. Spintronics라는 분야에 너무나 적합한 그런 주제였던 것이다.


사람들이 STT를 연구한 것은 크게 3가지였다. 첫 째, 자석에 스핀을 주입해서 switching시키는 것이다 (magnetization switching). 두 번째, 자석에 스핀을 주입해서 계속해서 precession하도록 하는 것이다 (magnetization oscillation). 마지막 세 번째는 domain wall에 스핀을 주입해서 이동시키는 것이다 (magnetic domain wall motion). 이러한 세가지 실험을 여러 그룹에서 시도하였고, 실제로 스핀 주입에 의한 switching, oscillation, domain wall motion이 측정되었다. 각각은 MRAM, Microwave oscillator, Racetrack memory라는 응용소자의 개발로 이어졌고, MRAM은 올해 초, 드디어 상용화가 되었다.


STT는 물리적으로 아주 단순한 “각운동량 보존” 원리에 입각해서 작동한다. 이게 무슨 말이냐 하면, 자석이라는 것이 전자의 스핀으로 이루어져 있으므로, 내가 외부에서 반대 방향 전자 스핀 하나를 넣어주면, 자석 내부의 전자 스핀이 하나 뒤집어진다는 것이다. 따라서, 자석에 100개의 스핀이 있다면, 내가 외부에서 100개를 넣어주면 뒤집을 수 있다는 단순한 그런 보존원리에 입각해서 설명이 된다. 그런데… 2000년대 초반에 약간의 문제가 있었다. STT가 실험적으로 발견되어서 신난 과학자들은 더 다양한 실험을 하였고, 그로부터 STT의 크기를 유추하였는데, 이상하게 그 값이 너무 크게 나오는 것이다.


실험값이 이론적 예측값과 맞지 않으면, 이론가는 “실험을 잘못했겠지?” 라고 생각할 것이고, 실험가는 “이론은 이론일 뿐” 이라고 생각할 것이다. 이럴 때, 두 그룹 모두를 만족시키는 방법은 “여기에 뭔가 새로운 것이 있다”라고 얘기하는 것이다. 그렇게 등장한 것이 바로 non-adiabatic STT이다. 기존의 STT는 adiabatic STT라고 이름 붙이고, 이걸로는 도저히 크기가 설명이 안되기 때문에 non-adiabatic STT라는 것이 존재해야 한다고 퉁치는 것이다.


간단히 설명을 하자면, domain wall과 같이 spin이 점진적으로 변화하는 영역이 있다고 생각하자. 여기에 전자가 지나간다면, 전자의 스핀은 domain wall의 magnetization방향을 따라서 움직일 것이고, 이런 것을 adiabatic이라고 한다. 그런데, domain wall의 폭이 아주 짧으면 지나가는 전자가 미쳐 domain wall의 magnetization방향을 따라가지 못하는 현상이 발생할 것이다. 이런걸 mistracking이라고 하고, 이것 때문에 non-adiabatic STT가 발생하는 것이다 (사실 non-adiabatic이라는 것은 adiabatic 이 아닌 모든 것이라는 뜻이고, mistracking은 그 중 하나의 가설이다). Mistracking이 일어나면, 전자는 미처 local moment를 못 따라가고, 그러면 local moment는 국소적으로 전자 스핀방향의 자기장으로 인식하게 된다. 즉, non-adiabatic STT는 자기장과 같은 역할을 해서 field-like torque이라고 부르게 된다.


실험가들이 domain wall실험을 하였을 때, adiabatic STT만 존재한다면 전류밀도가 $ 10^{13} A/m^2 $에서 움직여야 하는데, 실제 domain wall은 $10^{12} A/m^2$보다 낮은 전류밀도에서 움직였다. 그래서 사람들은 non-adiabatic STT가 있다고 믿기 시작했다. 이론가들은 열심히 이론을 만들었고.


그러고 나서는 사람들이 “도대체 non-adiabatic STT의 크기는 얼마인가?”라는 것으로 싸우기 시작했다. 이 때 critical한 것은 물질의 damping parameter (alpha) 와 non-adiabatic STT (beta)의 크기 비율이다. 이 비율이 1보다 클 때와 작을 때, 시스템이 전혀 다르게 반응하기 때문이다 (구체적으로 domain wall의 속도는 beta/alpha 에 비례하게 된다. 또한 alpha 가 beta보다 클 때와 작을 때, domain wall의 precession 방향이 바뀌게 된다 –이거 궁금하면 나에게 찾아오라). 어쨌든 non-adiabatic STT 라는 것이 alpha보다 크냐 작으냐, 크면 얼마나 크냐? 를 가지고 열심히 싸우던 시기가 2000년대 후반이다 (실제로, 많은 그룹에서 우리 시스템에서는 beta가 얼마다… 이런 걸로 논문을 썼다)


그러다 2010년이 되면서 세상이 바뀌어 버린다. 바로 spin orbit torque (SOT)가 등장한 것이다. 기존에 생각지도 못했던 spin Hall effect, Rashba effect등으로 spin이 주입되는 상황이 발생한 것이다. 그리고 아주 비극적이게도 “기존에 사람들이 non-adiabatic STT라고 믿었던 것들이 사실은 SOT였을 가능성이 크다”라는 사실이 밝혀진다. 그리고 한 술 더 떠서, SOT가 훨씬 더 효과적으로 switching, domain wall motion등을 일으킨다는 것이 알려졌다. 또한, STT는 물질 자체적으로 결정됨에 반해, SOT는 우리가 얼마든지 물질 조합 (혹은 interface control)을 통해서 조절이 가능하다는 장점도 밝혀 졌다. 사람들은 더 이상 adiabatic STT vs non-adiabatic STT를 놓고 싸울 이유가 없어졌다. 그리고 모두 SOT로 몰려갔다. 그렇게 non-adiabatic STT는 기억속에서 사라져갔다. 그 어떤 학문적인 consensus에 이르지 못한 채로.


그러던 non-adiabatic STT가 이 논문에서 다시 등장하였다. 물론 그냥 등장한 것은 아니고, 옷을 갈아 입고 등장하였다. 무슨 말이냐 하면, 기존의 ferromagnet이 아닌 antiferromagnet 물질을 바탕으로 non-adiabatic STT가 등장했다는 말이다. 이 논문에서 우리는 최근에 집중적으로 연구한 GdFeCo라는 물질의 domain wall motion을 자세히 연구하였다. 이 물질은 인접한 non-magnet이 없으므로, SOT는 나오지 않는 시스템이었다. 그런데 전류의 영향이 측정이 되었다. 이것은 “여기에 STT가 있다” 라는 신호였다. 그러면 STT가 있는 것은 확실한데, adiabatic vs non-adiabatic을 어떻게 구분할 것인가? 이론가는 즉각적으로 이론을 세웠고, 그로부터 재미난 사실을 알게 되었다. 각운동량 보상점을 전후하여, adiabatic STT는 반대칭, non-adiabatic STT는 대칭이 된다는 사실을 발견했다. 실험가는 이러한 이론적 예측을 바탕으로 아주 주의 깊게 실험을 수행하였다. 그리고 우리는 정말 대칭과 반대칭 성분을 관측해냈다. 그로부터 STT값을 끄집어내는데도 성공했다.


이 논문은 “죽어가던 STT를 살려냈다”라는 의미가 있지만, 그것만으로 Nature 자매지에 실릴 수는 없다. 그 이상의 의미가 있다는 이야기다. 우리 측정 결과의 가장 큰 의미는 antiferromagnetic system에서 처음으로 STT라는 것을 실험적으로 측정했고, 그 결과 “non-adiabatic STT가 굉장히 크다!”라는 것을 알아냈다는 것이다. 무려 alpha에 비해서 100배 이상 큰 값이 나온 것이다. 이는 전류의 영향이 굉장히 극적으로 나타난다는 것이고, 쉽게 domain wall을 이동시킬 수 있다는 것이다. 응용적인 측면에서도 아주 좋은 결과라 아니할 수 없다.


그러면 antiferromagnet에서의 non-adiabatic STT가 어떻게 설명되는지 살펴보자. 앞서 설명하였듯이, non-adiabatic STT라는 것은 전자가 지나갈 때 local moment를 따라가지 못해서 나온다고 하였다. 그리고 이 것은 변화하는 영역이 아주 짧을 때 극적으로 나타난다고 하였다. 생각해보라. antiferromagnet이라고 하는 것은 인접한 원자와 원자가 반대방향을 향한다는 것이다. 그 말은 아주 짧은 영역에서 local moment가 급격히 바뀐다는 말이다. 그러니 mistracking이라는 관점에서 보면 non-adiabatic STT가 클 수밖에 없다.


그런데 antiferromagnet에서의 non-adiabatic STT는 또 다른 재밌는 특성이 있다. 앞서 non-adiabatic STT가 field-like torque라고 이야기 했다. Spin이 local moment방향을 못 따라가면, local moment입장에서는 torque가 아니라 자기장으로 느끼기 때문이다. 재밌는 것은 antiferromagnet에서는 non-adiabatic STT에 의해서 생기는 자기장이 staggered field라는 것이다. 무슨 말이냐 하면, antiferromanget이라는 것은 +M,-M,+M,-M 이 반복되고 있는 구조인데, +M에서 -M으로 지나갈 때와 -M에서 +M으로 지나갈 때의 자기장 방향이 반대라는 것이다 (실험데이터에서는 각운동량 보상점 전후로 non-adiabatic STT가 대칭이라는 것이 이것을 의미한다).


이것은 재미난 예측을 하나 던져주는데, non-adiabatic STT를 이용하면 자화 보상점 (magnetization compensation temperature)에서도 domain wall이 움직인다는 것이다. 왜냐하면, non-adiabatic STT가 global uniform field가 아니라 staggered field를 주기 때문이다.


자, 위의 설명이 이해가 되었다면, 자화 보상점에서 current-induced domain wall motion을 증명해보고 싶지 않은가? 누가 해보겠는가?



저자 김갑진
E-mail : kabjin@kaist.ac.kr


https://doi.org/10.1038/s41928-019-0303-5

Possible contribution of high-energy magnons to unidirectional magnetoresistance in metallic bilayers

Takaya Okuno, Se Kwon Kim, Takahiro Moriyama, Duck-Ho Kim, Hayato Mizuno, Tetsuya Ikebuchi, Yuushou Hirata, Hiroki Yoshikawa, Arata Tsukamoto, Kab-Jin Kim, Yoichi Shiota, Kyung-Jin Lee and Teruo Ono

 


단방향 자기저항과 테라헤르츠 마그논
(Possible) Contribution of THz magnon in unidirectional magnetoresistance


2019년 4월 19일.


드디어 APEX(Applied Physics Express)에서 억셉트 메일을 받았다.


그리 임펙트가 높은 저널이 아니고, 그러기에 이 저널에 논문을 출간하는 것이 그리 어려운 일은 아니다. 나의 연구 커리어에 APEX보다 좋은 논문도 많고, 사실 APEX에도 수 많은 논문을 출간했었다. 그런데 오늘 나는 참으로 감동적이고 뭔가 가슴 한 켠에 아련함마저 느껴진다. 지난 7년간의 일들이 주마등처럼 스쳐 지나갔다.


때는 2012년 9월 14일이었다. 나는 기억하지 못하지만, 내 실험 데이터에는 날짜가 기록된다 (그러니 이 것은 사실이다). 당시에 나는 Domain wall (DW) 실험을 열심히 하고 있었고, 그 즈음에는 ‘금속에서의 스핀홀 효과’라는 현상이 막 등장하던 시기였다. 스핀홀 효과라는 것은 전자가 이동할 때 그 스핀 방향에 따라 한쪽방향으로 휘는 현상이다. 야구공을 던지면서 스핀을 주면 휘는 것처럼, 전자가 스핀을 가지고 있으니 진행하다가 한 방향으로 휘는 것이다. 예를 들면, up-spin은 앞으로 가면서 왼쪽으로 휘고, down-spin은 앞으로 가면서 오른쪽으로 휘는… 그런 식이다 [그림1 참조].


그림 1. 스핀 홀 현상의 개략도

이런 스핀 홀 현상은 스핀-궤도 상호작용에 기인하므로, 스핀-궤도 상호작용이 강한 물질에서 일반적으로 강해진다. 스핀-궤도 상호작용은 원자핵과 전자 사이에 작용하는 힘에 기인하므로, 원자핵의 양성자가 많아질수록, 즉 원자번호가 클수록 일반적으로 커진다 (따라서 중금속에서 강하다). 일반적으로 Pt, Ta, W등에서 강한 것으로 알려져 있고, 특히 Pt과 Ta, W은 그 부호가 반대가 된다 (부호가 반대가 된다는 것은 Pt에서 up-spin이 앞으로 진행하다 오른쪽으로 휜다면, Ta에서는 앞으로 진행하다 왼쪽으로 휜다는 이야기다). 지금은 당연한 것 같은 이런 현상이 10년전에는 아무도 모르는 현상이었다. 당시에는 Pt/Co와 같은 물질을 만들어 전류를 흘려 자화스위칭이나 DW이동과 같은 실험을 했었는데, 모두가 Co만 신경을 썼지 Pt은 신경을 쓰지 않았다 (Pt은 단지 Co의 자화를 수직방향으로 유지하기 위해서 필요한 층이라 생각했고, 전류를 흘리면 Co가 아닌 Pt쪽으로도 흐르므로, “쓸데없이 전류를 잡아먹지만, 어쩔 수 없이 써야 하는” 물질이라 생각했다) 그런데 2000년대 후반으로 오면서 이해할 수 없는 이상한 현상이 발견되고 (예를 들면 DW의 이동방향이 기존 이론 예측과 반대가 된다던가, 자화 스위칭이 in-plane자기장에 영향을 받는다든가…) 사람들이 스핀홀 현상을 의심하기 시작한다.


2011년경 3가지 획기적인 실험결과가 발표가 되었는데, 그 결과는 모두 Pt이나 Ta의 스핀홀 현상이 아주 크다는 것을 의미하는 것이었다. Miron과 Liu는 전류를 흘려서 자화 스위칭 실험을 하였고, 그 결과 Pt이나 Ta에 흐르는 전류에 의해서 Co가 스위칭된다는 것을 알아내었다 [참고문헌 1,2]. Haazen은 in-plane 자기장을 주면서 전류를 흘려 DW을 이동시키는 실험을 하였는데, 그 결과 역시 Pt의 스핀홀 효과에 의해 DW이 이동한다는 것을 나타내고 있었다 [참고문헌 3]. 이 말은Pt에서 스핀홀 현상이 발생해서 Pt과 Co의 계면에 한 방향 스핀이 모이고, 이것이 Co로 들어가면서 Co의 자화에 영향을 준다는 것이다. 지금은 누구나 알고 있는 이런 스핀홀 현상이 당시에는 막 등장하던 때였고, Rashba effect, DMI와 같은 계면 현상 역시 막 등장하던 때였다. 따라서 할 일이 많던 시기(?) 였기도 하다.


당시 내 질문은 이 것이었다. Pt/NiFe로 샘플을 만들면, Pt의 스핀 홀 효과가 NiFe에 어떤 영향을 줄까? 생각해보면 그리 대단한 질문은 아니었다. Pt/Co를 사람들이 하니까, 나는 그냥 물질을 Co에서 NiFe으로 조금 바꾸고 싶었던 것이다. 그런데, NiFe과 Co는 큰 차이가 있는 것이, NiFe은 수평자기이방성(in-plane magnetic anisotropy)을 가지고, Co는 수직자기이방성(perpendicular magnetic anisotropy)을 가진다는 것이다. 쉽게 말하면, Co는 위, 아래 방향으로 정렬하지만, NiFe은 좌,우 방향으로 정렬한다는 것이다. 내가 가장 잘 하는 것은 DW을 측정하는 것이니, NiFe에 DW을 만들고 전류를 흘리면, Pt의 스핀홀 효과가 DW의 움직임에 무슨 영향을 주지 않을까? 이걸 확인해 보고 싶었다.


그림 2. 수평자기이방성 시료에서 DW실험을 하기 위한 곡선 구조 개략도와 실제 제작된 시료

그래서 그림 2와 같이 샘플을 만들었다. 이 샘플에다가 45도 방향으로 자기장을 걸게 되면 곡선 부분에 DW이 형성되는데, 전류나 자기장을 주면 곡선에서 빠져나가게 될 것이다. 만일 스핀홀 현상이 있다면, 전류 방향에 의존하는 어떤 현상이 나와야 하지 않을까 싶었다. 왜냐하면, 전류 방향을 바꾸면 스핀홀 현상에 의해서 발생하는 스핀의 방향이 반대가 될 테니까. 이를 확인하기 위해서 나는 전류 바이어스를 주면서 자기장에 의한 DW depinning 을 측정하고자 하였다.


언뜻 보기에 참으로 단순한 실험이다. 하지만 사실 이 실험을 시작하기까지는 많은 노하우가 필요하다. 모르는 사람이라면, “샘플 만들고-probe tip을 대고-전류 흘려가면서 자기장 걸고- 그냥 depinning 측정하면 끝!” 이라고 생각하지만, 이걸 하는 데는 엄청나게 많은 노력을 들여야 한다. 왜냐하면 자세히 체크하지 않으면 결과가 왜곡되기 때문이다. 예를 들면, 샘플이 제대로 만들어졌는지 확인은 어떻게 하지? Probe-tip을 가져갈 때 나오는 Noise는 어떻게 해결하지? 전류를 흘리면 온도도 올라갈 텐데, 그 효과를 어떻게 없앨까? 자기장의 크기와 방향이 정말로 정확한가? Depinning이 되었다는 것을 어떻게 알아낼까? 등등 생각해야 할 것이 많다. 머릿속에서 생각하던 것을 실제로 구현하려면 엄청난 내공이 필요하다. 나는 이런 부분에 자부심을 가지고 있다. 당시에는 이 자부심이 대단히 높아서, ‘내가 측정을 하면 나의 데이터에는 오류가 절대 없다’라고 확신을 하던 시기였다. 여담이지만, ‘이 사람의 데이터는 믿을 수 있어’라는 신뢰를 주기 위해서는 엄청나게 고된 과정을 거쳐야 한다. 나는 학위 과정 중에 그런 과정을 거쳤고(아니 거쳤다고 믿고 있고), 그래서 그 정도의 확신은 있었다. “내가 해석을 잘못할 수는 있지만, 내 데이터에는 오류가 있을 수 없다”


샘플을 조심스럽게 만들었고, 아주 조심히 측정에 돌입했다. 가장 먼저 할 것은 probe tip이 정상인지 확인하는 작업이고, 자기장과 전류가 정상적으로 걸리는지, 샘플이 문제가 없는지 확인하는 순서였다. 이 작업만 몇 일에 거쳐서 수행하였다. 그러던 중 이상한 점을 발견했다.


기본적으로 NiFe이라는 샘플은 이방성 자기저항(Anisotropic Magnetoresistance) 이라는 저항이 나와야 한다. 이것이 뭐냐하면, 전류의 방향과 자화의 방향이 평행할 때가 수직일 때보다 저항이 높다는 것이다. 그래서, 전류를 x방향으로 흘리고 자기장을 Y방향으로 주면, 그림3과 같은 저항을 얻게 된다 (자기장을 걸지 않게 되면 자화가 x방향으로 향해서 전류방향과 같게 되고, 자기장을 걸게 되면 자화가 Y방향으로 점점 정렬해가므로, 전류 방향과 수직이 되어 저항이 줄어든다). 실제로 측정해보니 그렇게 나왔다. 그냥 넘어갈 수도 있었지만, 좀 더 확인을 해보기로 했다.


그림 3. NiFe에서 흔히 보이는 이방성자기저항 (Anisotropic Magnetoresistance)

일반적인 측정의 기본은 “저항을 측정할 때는 전류를 되도록 작게 흘린다”는 것이다. 왜냐하면, 전류를 많이 흘리면 온도가 올라가서 원하는 현상과 더불어 온도에 따른 현상이 에러로 들어가버리게 때문이다. 나는 이런 원칙을 무시했다. 내가 체크하고자 한 것은 “전류를 얼만큼 흘리면 이 샘플의 온도가 올라가서 타버릴까?” 였다. 왜냐하면, 일단 이런 기준을 알고 있어야 과전류를 흘리는 것을 막을 수 있기 때문이다.


조심스럽게 전류를 차근차근 올렸다. 일반적으로 온도가 올라가면 저항이 증가하므로, 내가 전류를 증가시키면 샘플의 저항이 올라간다. 그러다가 탈 때쯤 되면 저항이 급격히 증가할 테다. 그걸 일단 확인하고 그 이하의 전류에서만 실험을 해야겠다고 생각하고 있던 찰나…


AMR이 이상해졌다.


그림 4. Pt/NiFe에서 전류를 증가시켰을 때의 저항 변화

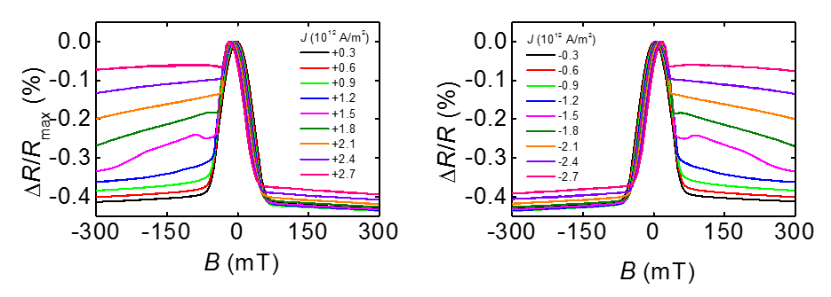
전류를 점점 증가시켰더니 그림 4와 같이 AMR이 비대칭적으로 바뀌었다. 전류 방향을 바꿨더니,비대칭의 방향도 바뀌었다. 조금 이상했는데, 이내 그 이유를 알게 되었다(라고 생각했었다…). Pt이 스핀홀 현상이 있으니 Pt으로부터 NiFe에 스핀이 주입될 것이고, 전류 방향을 바꾸면 NiFe에 주입되는 스핀 방향이 반대가 될 테니, 저항이 비대칭이 될 수 있겠다… 즉, Pt에서 들어오는 스핀 방향이 NiFe의 자화 방향과 평행할 때와 반대일 때 저항이 달라질 수 있겠다… 라는 생각이 들었다. 대수롭지 않게 생각하고, DW 실험을 시작했다. 내가 궁금했던 것은 “스핀홀 효과에 의해서 DW depinning이 어떻게 될까?” 였으니까. 그리고 아래 그림5와 같은 DW depinning 결과를 얻었다. 특정 자기장, 전류방향에서 DW depinning이 잘되는 현상을 발견한 것이다. Pt을 Ta로 바꾸면 그 방향이 바뀌고, Cu로 바뀌면 이런 현상이 사라진다 (Cu는 스핀홀 효과가 아주 작다). 전류 방향, 자기장 방향, DW depinning방향, DW polarity 방향 등을 모두 바꾸어서 map을 그렸고, 정말인지 확인하기 위해 이런 map을 수도 없이 그렸다 (엄청 열심히 측정했다는 거다), 그 결과는 일관되게 “DW depinning이 스핀홀 효과의 영향을 받는다”는 것을 가르키고 있었다. 이게 바로 내 7년 여정의 시작이었다.


그림 5. 스핀홀 효과에 의한 DW depinning. 왼쪽:Pt/NiFe, 가운데: Ta/NiFe, 오른쪽”Cu/NiFe

내가 발견한 것은 두 가지였다. 첫째, 스핀홀 효과 때문에 AMR이 비대칭적으로 바뀐다 (그림 4). 둘 째, DW depinning이 스핀홀 효과의 영향을 받는다 (그림 5). “이 정도면 nature 자매지 두 편 정도는 나가겠지?” 라고 생각했다. 그 당시에는 다들 그 정도 수준이었다. 그런데 나의 두 가지 발견 중 첫 번째 발견, 즉 AMR의 비대칭성을 출간하는데 7년이 걸려서 오늘 드디어 억셉트 메일을 받았고, DW실험 결과는 아직도 출간을 못하고 있다. 어떤 논문은 실험을 한번 하고 바로 출간이 되기도 하지만, 어떤 논문은 시간이 흘러가도 출간이 안 되는 그런 논문이 있다. 그럴 수도 있는 것이다. 야구를 봐라. 잘 맞아서 무조건 안타라고 생각했지만, 야수 정면으로 향해서 아웃이 되는 경우도 있고, 빗맞아서 아웃이라고 생각했지만, 야수 사이에 떨어져서 안타가 되는 경우도 있다. 세상일이 그렇다. 그래서 내가 아련함을 느끼는 것이고, 그래서 그 이야기를 하고자 이렇게 글을 쓰고 있는 것이다.


실험 결과를 얻으면 일단 설명을 해야 하고, 그러려면 이론가의 도움이 필요하다 (내가 이론을 못하니까). 내 옆에는 두 명의 슈퍼히어로 이론 선생님이 계시니, 일단 그 분들께 결과를 보냈다.


“이경진 교수님, 이현우 교수님, 제가 이런 결과를 얻었습니다. 스핀홀 효과를 생각하면 당연할 것 같은 결과인데 어떻게 생각하시는지요?”


데이터를 보면 바로 그 물리적 의미를 파악하시는 이경진 교수님께서 바로 답장을 주셨다.


“AMR 비대칭 결과가 이상합니다. 여기에 뭔가 있는 것 같습니다.”


그렇게 일이 시작된 것이다.


스핀홀 효과는 맞다. 왜냐하면, Pt을 Ta로 바꾸면 비대칭의 부호가 바뀌고, Cu로 바꾸면 이런 현상이 안나타나니까. 그리고 명확하게 NiFe에 들어오는 스핀모멘트와 NiFe의 자화가 반대방향일 때 저항이 커진다는 것. 즉, 비자성/자성 구조를 만들고 전류를 흘렸을 때, 스핀이 비자성층에서 자성층으로 주입되고, 그 스핀 방향에 따라서 저항 차이가 나타난다는 것이다. 근데 문제는… 스핀홀 효과로 스핀이 NiFe에 주입되면 “도대체 왜 저항이 바뀌는가” 이다. 이런걸 하려면 일단 가설을 세워야 한다. 우리가 (정확히는 이경진, 이현우 교수님께서) 세운 가설은 두 가지였다.


1. 반대방향 스핀이 주입되면 스핀토크 현상에 의해서 NiFe의 자화가 요동을 일으키고 따라서 저항이 증가하게 된다 (정확한 용어로 spin torque에 의해서 magnetization excitation이 일어나면 저항이 바뀐다는 것이다)
2. NiFe의 자화 방향과 Pt에서 주입되는 스핀의 방향이 반대일 때 저항이 증가한다는 것은 마치 GMR현상과 같이 이해될 수 있다 (정확한 용어로 spin dependent scattering으로 인해서 저항차이가 발생할 수 있다는 것이다)


가설을 세웠으면 확인을 해야 한다. 첫 번째 가설은 simulation으로 쉽게 확인할 수 있다. 왜냐하면, spin torque에 의한 magnetization excitation은 이미 잘 개발되어 있고, 최고 전문가가 바로 이경진 교수님이시기 때문이다. 그 결과 첫 번째는 원인이 아닌 것으로 밝혀졌다. 즉, spin torque는 그렇게 큰 저항변화를 만들 수 없다는 결과가 나왔다. 두 번째 가설을 확인하기 위해서 온도를 바꾸어가면서 측정을 했다. 일반적으로 GMR과 같은 현상은 저온에서 증가하기 때문이다. 그런데 내가 실험해본 결과, 저온에서 비대칭적인 저항변화가 감소했다. 그러니 두 번째 가설도 틀렸다. 그럼 도대체 뭔가?


사실 나는 AMR의 변화는 별로 관심이 없었다. DW 실험이 목적이었으니까. 그래서 추가적으로 DW실험을 열심히 했다 (물론 지금까지 출간을 못하고 있지만 ㅎㅎ 이유가 궁금하면 나에게 오라). 이론은 내 전문이 아니니, 나는 실험을 추가적으로 열심히 했다. 온도 의존성, 자기장 의존성, 전류의존성, 시간 의존성, 물질 의존성, 두께 의존성, 등 할 수 있는 모든 실험은 다 했다. 그게 문제 였지만…


사실 이론가와 실험가 사이에는 약간의 생각의 차이가 있다. 이론가는 실험가에게 “실험을 조금만 더 하세요. 그럼 설명 가능한 이론의 개수가 줄어들고, 결국 정확한 이론으로 수렴할 가능성이 커집니다” 라고 이야기하고, 실험가는 이론가에게 “내 실험결과를 설명할 수 있는 이론 한가지만 이야기 해주세요. 내가 실험을 더 하면, 그 모든 실험 결과를 설명할 수 있는 유일한 이론은 없을 테니까요” 라고 이야기한다. 바로 내가 두 번째 상황이었다. 실험을 많이 했지만, 그 많은 실험 결과를 완벽히 설명할 유일한 이론이 없었다. 어떤 이론은 상온에서 결과를 설명하지만 저온에서의 결과를 설명하지 못하고, 어떤 이론은 전류 의존성은 설명하지만 자기장 의존성은 설명하지 못하는 식이었다. 실험을 하나만 했다면, 그걸 설명할 수 있는 이론은 많았겠지만…


어쨌든 시간은 흘러가서 2014년 경이 되었고… 나의 히어로 이경진 교수님께 연락이 왔다.


“지금 결과가 아주 중요한 의미를 내포하고 있는 듯 합니다. 기존 spin torque이론에서 무시했던 그 어떤 것이 나타나고 있는 듯 합니다.”


곧 이현우 교수님께서 연락하셨다.


“이 결과는 기존 spin torque이론을 넘어섭니다. spin torque에서는 무시했던 energy transfer를 고려하면 지금 결과가 설명이 됩니다”.


엥? Spin torque가 어떤 이론인가? 당대에 보고되고 있는 전류에 의한 자화 변화… 그 모든 현상을 지배하고 있는 그 이론 아닌가? 근데 그걸 넘어선다고? 나는 영문도 모르고, 놀라운 발견을 한 사람이 되는 듯 했다.


자, 그럼 한번 설명을 해 보자. Energy transfer가 도대체 어떤 것인지? 그것이 spin torque와 무슨 차이가 있는 것인지…


스핀토크라는 것은 전자 스핀이 자성층을 지나갈 때 토크를 전해준다는 것이다. 간단히 설명하자면, 아래 그림 6처럼 기울어진 spin 1 ($\vec{\sigma}$) 이 세워진 spin 2 ($\vec{S}$) 를 지나갈 때, spin 1은 서고, spin 2는 반대로 기우는 현상을 말한다. 이런 현상이 왜 일어나냐 하면 두 개의 스핀이 각운동량을 교환하기 때문이다 (전체 각운동량은 보존되면서, 주고 받을 수 있으니까). 이 것을 식으로 나타내면 torque=$\vec{S} \times \vec{\sigma} \times \vec{S}$이 된다.


그림 6. 스핀토크 현상의 개략도

스핀토크에 관한 자세한 설명은 생략하고, 일단 위 식을 자세히 보자. 방향을 보면 이것은 spin의 transverse성분에 해당한다. 즉, 현재의 스핀토크 이론은 spin 의 transverse성분의 교환을 설명하는 이론이다. 그렇다면 longitudinal 성분은? 그건 주고 받지 않나? 이것이 바로 energy transfer의 핵심이다. 기존 스핀 토크 이론에서는 이 longitudinal 성분을 주고 받는 것을 무시했었다. 그걸 무시해도 많은 현상이 설명이 되기 때문이었다. 그런데 그걸 무시하면 안된다는 증거를 드디어 내가 찾아낸 것이다.


자, 그럼 energy transfer를 고려하면 어떻게 되어야 하는지 보자. 일단 스핀토크의 경우 두 스핀이 수직한 경우 그 효과가 가장 크지만, energy transfer의 경우 두 스핀이 평행/반평행 한 경우가 효과가 가장 크다. 단순하게 생각하면, 두 스핀이 반평행한 경우 longitudinal 성분이 직접적으로 교환될 수 있다. 우리는 이런 것을 spin-flip이라고 부른다. 다시 말하면, spin-up에서 spin down으로 바뀌는 것이다 (그림 7). 이런 현상을 지배하는 것은 교환상호작용 (exchange interaction)인데, 식으로 쓰면 $ \vec{\sigma} \cdot \vec{S} = \sigma_z S_z + \frac{1}{2} \left( \sigma_{+} S_{-} + \sigma_{-} S_{+} \right) $이 된다.


그림 7. Spin-flip 현상의 개략도

자성 물질 내부에서 spin-flip이 일어난다고 하는 것은, majority band에서 minority band로 전자가 이동한다는 것이고, 이러한 프로세스에는 반드시 에너지와 운동량보존, 그리고 각운동량 보존이 수반되어야 한다. 기존에 보고된 문헌값을 이용하면, 이 때 수반되는 운동량 변화량은 $ 10^{-9} m^{-1} $정도 된다. 당구공이 부딪히면 운동량을 교환하듯이, 두 스핀이 상호작용해서 운동량을 교환하는데, 그 크기가 $ 10^{-9} m^{-1} $정도 된다는 것이다.

현재 상황을 조금 더 자세하게 생각해볼 수 있는데, 아래 그림 8과 같이 모든 스핀이 정렬되어 있는 자성체에 스핀을 주입시키고, 그 스핀이 spin-flip을 일으켜서 자성체 내부의 스핀 하나를 뒤집는 것이라 생각할 수 있다. 그런데 자성체 내부에서는 같은 에너지라면, 스핀 하나가 돌아가는 대신에 전체 스핀들이 조금씩 기울어지는 것을 선호하게 된다 (스핀들이 손을 잡고, 하나만 돌아가지 않도록 막는 것이라고 생각하면 편하겠다).


그림 8. Spin-flip 현상에 의한 마그논 생성 메커니즘

그런데 가만히 생각해보면, spin-flip 현상으로 스핀 하나만 반대방향으로 돌릴 수도 있는데, 왜 시스템은 “하나만 반대로 돌리는 것” 보다 “여러 스핀이 조금씩 기울어지는 것”을 선호하는가?


그건 바로 엔트로피 때문이다.


물리학에서 시스템을 기술할 때 자유에너지(free energy)라는 것으로 기술한다. 모든 계는 자유에너지가 최소가 되는 방향으로 변화해 간다. 일반적으로 어떤 계의 자유에너지 는 다음과 같이 기술된다.


$$ F = E - TS $$

여기서, E는 에너지, T는 온도, S가 바로 엔트로피이다. 이 식의 뜻은, 유한한 온도($T \neq 0K$)에서 같은 에너지라면 엔트로피가 높은 방향을 선호한다라는 것이다. 자, 그럼 엔트로피는 도대체 무엇인가? 교과서에 나오는 표현을 빌리자면, 그것은 ‘무질서도’이고, 통계역학적으로 표현하면, ‘확률적으로 더 선호하는 상태’가 되고, 좀 더 나아가면, ‘자연이 흘러가는 방향’이 된다. 이러한 정의를 따르자면, “여러 스핀이 조금씩 기울어지는” 이유는 그게 더 무질서하기 때문이고, 그렇게 존재할 확률이 더 높기 때문이고, 자연이 원래 그렇기 때문이다.

이렇게 기울어진 스핀들은 마치 파동과 같은 형태를 띤다. 이것을 마그논(magnon)이라 부른다. 위 논의에 따르면 spin-flip에 에 의해서 전자가 전해주는 운동량은 $10^{-9} m^{-1}$이고, 이 운동량이 마그논을 생성하기 때문에, 마그논의 운동량 역시 $10^{-9} m^{-1}$가 될 것이다. 그럼 magnon의 분산관계(dispersion relation)에 의하면 magnon이 가지는 에너지는 수 meV가 되게 된다. 이게 바로 energy transfer의 핵심이다.

정리하자면, AMR에서 비대칭성이 나타나는 이유는 “비자성금속에서 스핀홀 효과에 의해서 자성층으로 스핀이 주입되고, 주입된 스핀은 Spin-flip을 일으켜서 magnon을 형성한다. 형성된 magnon은 수 meV의 에너지를 가지고, 이러한 magnon이 electron-magnon interaction에 의해서 저항을 증가시킨다”라는 것이다. 이 결과가 중요한 이유가 몇 가지 있는데,


1. 수 meV 라는 것은 THz영역에 해당한다. 즉, 생성되는 magnon은 THz이다.
2. 기존의 스핀토크 이론에서는 오직 transverse 성분만 예측했었고, 그 때 나오는 magnetization dynamics는 모두 GHz영역이었다. 그러나 우리는 처음으로 longitudinal 성분에 의한 energy transfer를 심각하게 고려했고, 그 결과 THz가 나온다는 것을 알았다.
3. THz라는 것이 만들기도 측정하기도 어려운데, 우리는 단순히 전류를 흘림으로써, THz 영역의 magnon을 만드는데 성공했다.


정도이다. 기존에 사람들이 이런 현상을 찾아내지 못한 이유는, 모두 GHz만 측정했고, 그것이 스핀토크 이론(transverse성분 교환)과 잘 맞아떨어졌기 때문이었다.


어쨌든 우리는 드디어 우리 결과를 설명할 수 있는 이론을 찾았고, 논문을 쓰기 시작했다. 그게 아마 2015년 어느 즈음이었다. 그러던 중…


Nature physics논문에 우리 결과와 완전히 동일한 결과가 실렸다 [참고문헌 4]. 같은 시료에서 같은 실험을 해서 같은 결과를 얻었다. 차이점은 그들은 상온에서만 측정했고 (내가 3년전에 측정했던…), 그래서 그 원인이 GMR과 같은 효과라고 단정한 것이다. 마음이 급해졌다. 나는 저들의 해석이 틀렸다고 생각했지만, 이미 권위있는 저널에 출간되어버렸다. 어떻게든 이걸 해결해야 한다.


우리는 논문을 Arxiv에 올리고 바로 Nature Nanotechnology에 투고했다. 심사 결과는 reject. 이유는 “직접적인 증거가 없다’라는 것이었다. THz 영역의 magnon이야기를 하지만, 실제 측정한 것은 저항변화일 뿐, THz를 직접 측정한 것이 아니라는 것이다. 그래서 우리는 THz magnon을 직접 측정하기로 하고, THz측정이 가능한 싱가폴 대학의 양현수 교수님과 공동연구를 시작했다. 1년이 넘게 걸렸지만, 결국은 실패.


그러던 와중에 그들의 Nature Physics논문은 새로운 발견으로 굳어가고, 수 많은 후속논문들이 쏟아져 나왔다. 그 중에는, 저항 변화의 원인이 magnon이라는 논문도 존재했다 [참고논문 5]. 우리 논문의 가치는 점점 떨어져 갔다. 우리는 할 수 없이 논문을 PRL에 보냈으나, 안타깝게도 Nature Nanotechnology때와 같은 reviewer를 만나서 reject되었다. 그리고 마지막으로 APEX에 논문을 제출한 것이다. 다행히도, APEX에서는 논문을 수락해 주었다. 그게 바로 오늘이다.


7년이 걸렸다. 실험을 하고 논문이 수락되기까지. 그 7년이라는 시간 동안 참 많은 일이 일어났다. 스핀홀 현상에 대해서 깊이 이해하는 사람이 거의 없었던 그 때였는데… 이제는 누구나 당연하게 이해하는 현상이 되었다. 불완전해 보이던 스핀토크 이론은 스핀궤도토크, 오비탈 토크로 변신해가고 있는 중이다. 그 뿐인가? 이제 사람들은 자성체도 기존의 강자성체에서 준강자성체, 반강자성체로 확장하려고 시도하고 있다. 학문이란 늘 그렇듯, 그렇게 발전해 가고 있다. 그렇다고 내 7년이 전혀 의미 없다고 할 수는 없다. 당대 최고의 이론가와 서신을 주고받으며 엄청나게 많은 공부를 했다. 실험을 진행하는 방법에 대해서도 배웠고, 논문을 쓰는 전략에 대해서도 배웠다. 정말 많이 배웠다. 그냥 대충 논문을 쓰고 지나가 버렸으면 절대로 얻을 수 없었던 그런 것들을 배웠다.


그래. 그렇게 배웠으니, 그걸로 된 거다.


1. I. M. Miron, et al., Nature 476, 189 (2011)

2. L. Liu, et al., Science 336, 555 (2012)

3. P. P. Haazen, et al., Nat. Mater. 12, 299 (2013)

4. Can Onur Avci, et al., Nat. Phys. 11, 570 (2015)

5. K. Yasuda, et al., Phys. Rev. Lett. 117, 127202 (2016)


저자 김갑진
E-mail : kabjin@kaist.ac.kr


https://doi.org/10.7567/1882-0786/ab1b54

Prediction of topological Hall effect in a driven magnetic domain wall

Kab-Jin Kim, Masahito Mochizuki, and Teruo Ono

 


자구벽에서의 위상학적 홀 효과
Topological Hall effect in magnetic Domain Wall


이 논문의 내용을 한 문장으로 요약하면 아래와 같다.


“원래 정지해 있는 자구벽에서는 위상학적 홀 효과가 나오지 않는데, 자구벽이 움직일 때는 그것이 나올 수도 있다”


이 결론을 이해하기 위해서는 두 가지만 이해하면 된다.
1. 도대체 위상학적 홀 효과가 무엇인가?
2. 자구벽이 움직이면 도대체 뭐가 바뀌길래 안 나오던 효과가 나오게 되나?


-위상학적 홀 효과 (topological Hall effect)-


홀 효과 (Hall effect)라는 것은 우리가 잘 알고 있다. 전자가 x방향으로 이동할 때, 자기장을 z방향으로 걸어주게 되면 전자는 y방향으로 휘게 된다는 것이다. 그 원인은 로렌츠 힘 때문인 것으로 이해하고 있다. 그럼 위상학적 홀 효과는?

간단히 이야기 하면 홀 효과와 같이 전자가 이동하다가 휘는 현상인데, 그 원인이 자기장이 아니라 “위상 (topology)” 때문에 휘는 효과라는 것이다. 그럼 “위상(topology)”은 뭐지?

위상의 개념은 우리가 흔히 도넛과 컵으로 잘 이해하고 있다.


그림 출처 : https://math.stackexchange.com/questions/2258389/how-can-a-mug-and-a-torus-be-equivalent-if-the-mug-is-chiral

위 그림과 같이 “연속적인 변형을 통해서” 서로 변환되게 된다면 이는 위상학적으로 동등하다고 이야기 한다 (그래서 도넛과 컵은 위상학적으로 동등하다. 둘 다 구멍이 1개 있으니까). 그럼 자성학에서는 위상을 어떻게 이해할까? 한마디로 설명을 하자면, 자성체에서는 “real space에서 order parameter space로의 자화 벡터의 mapping”으로 위상을 정의한다. 간단한 예로 vortex의 경우를 예로 들어보자. 아래 그림에서 원주를 따라 있는 화살표가 자화이다. 원을 따라서 한 바퀴 돌 때, 화살표(자화)의 방향이 어떻게 바뀌는지 보자. 가장 왼쪽의 경우는 원을 따라 한 바퀴 돌아도 화살표는 한 바퀴 돌지 않는다 (그래서 winding number w=0으로 정의한다). 가운데의 경우 원을 따라 한 바퀴 돌았을 때, 화살표도 정확히 한 바퀴 돈다 (w=1이다). 오른쪽의 경우는 원을 따라 한 바퀴 돌면 화살표는 두 바퀴를 돌게 된다 (w=2). 이 때, winding number를 topological number라고 정의를 하고, winding number가 같다면 위상학적으로 동등하다고 한다. 위상학적으로 동등하다는 것은 연속적인 변형을 통해서 서로 바뀔 수 있다는 것이다(왼쪽의 두 개의 자화구조, 가운데 두 개의 자화구조는 서로 연속적으로 변환된다).


그림 출처 : Hans-Benjamin Braun, Advances in Physics 61, 1 (2012)

최근에 이슈가 되고 있는 스커미온 (skyrmion)의 경우 2차원 real space에서 3차원 order parameter space로의 mapping에 해당한다. 아래 그림과 같이 스커미온에 있는 자화(화살표)를 구의 표면에 mapping시키게 되면, 정확하게 구의 표면을 고슴도치처럼 꽉 채우게 된다.


그림 출처 : Journal of Applied Physics 115, 172602 (2014)

이 때 winding number에 대응하는 숫자는


$$ S = \frac{1}{4 \pi} \int \vec{m} \cdot \left( \partial_x \vec{m} \times \partial_y \vec{m} \right) dx dy $$

와 같이 정의되는데, 이것이 바로 topological number가 된다. 스커미온의 경우 topological number는 1 혹은 -1이 되는데, 이 말은 화살표가 구의 표면을 꽉 채운다는 것이다 (구의 절반만 채우게 되면 topological number가 +1/2 혹은 -1/2이 된다).

Topological number가 0이 아닌 finite한 값을 가지게 되면 위상학적 홀 효과(topological Hall effect)가 나오게 된다. 간단히 얘기하면 아래 그림과 같이 스커미온이 존재하는 경로를 지나는 전자는 그 방향이 휘게 된다는 이야기다. 외부 자기장이 전혀 없는데도 불구하고 전자의 경로가 휜다는 것이다.


그림 출처 : N. Nagaosa, et al., Nat. Nanotech 8, 899 (2013)

언뜻 생각해보면 참 이상한 효과이다. 전자가 스커미온 구조를 통과하게 되면, 전자의 스핀이 스커미온의 각 영역 스핀을 따라갈 테니, 한 바퀴 회전하긴 할 텐데, 그렇다고 경로가 왜 휘어야 하는지는 참 이해하기 어렵다. 이걸 이해하기 위해서는 베리 위상(Berry phase)를 이해해야 하는데, 아래 그림처럼 북극에서 적도를 한번 돌아오면 위상(phase)이 바뀐다는 것에 기인한다. 여기서 주의할 점은, 우리말로는 모두 위상이라고 하지만, 앞에서 이야기한 topology와 지금 이야기 하는 phase는 다르다는 것이다 (물론 둘이 관련이 있기는 하지만). 그래서 이제부터는 우리말보다는 영어로 topology혹은 phase라고 써 보자.



phase라는 것은 파동에서 정의되는 것이다. 우리가 학교에서 배웠듯이 파동은 마루가 있고 골이 있다. 파동의 가장 큰 특징은 중첩이 가능하다는 것이다. 입자 두 개가 부딪히면 서로 튕겨나가지만 (당구공의 충돌을 생각해보라), 파동 두 개가 부딪히면 서로 합쳐진다 (연못 위에 돌맹이 두 개를 던지고 물결을 관찰해보라). 파동은 중첩이 되기 때문에, 회절이나 간섭과 같은 현상을 보인다. 흔히 알고 있듯이, phase가 같은 두 파동이 만나면 보강간섭이 일어나고, phase가 90도 다른 파동이 만나면 상쇄간섭이 일어난다. 결국, 파동의 phase에 따라서 파동이 사라질 수도 있고, 증폭될 수도 있다. 이게 바로 phase가 중요한 이유이다. 또한 우리가 두 개의 파동을 만들고, 둘 사이의 phase를 적절히 조절하면 파동의 진행 방향을 바꿔버릴 수도 있다. 방향을 바꾼다? 이건 사실 우리 최근 논문을 보면 알 수 있다 (Song et al. Phys. Rev. Applied 11, 024027 (2019)). 아래와 같이 파동의 phase를 순차적으로 바꿔주면 파동의 진행방향을 임의로 바꿀 수 있다.



그렇다면 이제 어느 정도 이해가 되었을 것이다. 전자가 스커미온과 같은 구조를 지나게 되면, Berry phase가 생기게 되고, 이렇게 생긴 phase로 인해 그 경로가 바뀌게 된다는 것이다. 여기서 우리가 떠올려야 할 중요한 개념이 바로, “전자는 입자인 동시에 파동이다” 라는 드브로이 정리이다. 전자를 파동으로 이해한다면 우리는 충분히 그 경로가 바뀌는 것을 이해할 수 있다.


결론적으로, topological number가 0이 아닌 구조를 지나게 되면, 전자는 Berry phase가 생겨 그 경로가 휘게 된다. 이것이 바로 topological Hall effect이다.


그렇다면 우리는 이제 두 번째 질문에 대답을 해야 한다. 왜 topological Hall effect는 자구벽이 움직여야만 나오는가?


자구벽을 1차원에서 단순히 나타내면 아래 그림과 같다.



단순히 up에서 down으로 바뀌는 구조이고, 이 구조에서는 앞서 스커미온에서 정의한 topological number가 0이 된다. 즉, topological Hall effect가 나올 이유가 없다. 그런데 자구벽은 실제 1차원이 아니라 2차원에서 존재한다 (원자 하나를 이어서 1차원으로 만들 수 있다면 모르겠지만, 실제 우리가 사용하는 소자는 폭을 가지기 때문에 거의 항상 2차원이다). 2차원에서는 아래 그림과 같이 자구벽 내부에도 복잡한 스핀 구조가 존재할 수 있다 (이걸 vertical Bloch line (VBL)이라고 부른다). 이러한 VBL의 topological number를 계산해보면, 1/2이 나온다 (아래 그림에서 VBL의 자화를 구 표면에 mapping하면 정확히 절반이 꽉 차게 된다). 따라서 VBL이 존재한다면 topological Hall effect가 존재할 수 있다. 그럼 VBL이라는 것은 언제 존재하나? 바로 자구벽이 이동할 때 발생하게 된다. 그렇기 때문에 자구벽이 이동하게 되면, topological Hall effect가 나올 수 있는 것이다.



아래 그림은 자구벽이 움직이는 상황을 시뮬레이션 한 결과이다. 보다시피 자구벽이 움직일 때는 pinning으로 인해 지렁이처럼 휘게 되고, 휘는 곡점마다 VBL이 발생하게 된다. 이렇게 발생한 VBL은 아래 그림처럼 skyrmion의 절반인 half skyrmion과 같은 구조를 가지게 되고, topological Hall effect를 준다.



여기까지 읽고 이해가 되었다고 생각하면 안된다. 잘 생각해보면… 정말 엄밀하게 생각해보면… DW내부에 VBL이 생길 때는 항상 쌍으로 생기게 된다. 이 때 생기는 VBL쌍은 topological number가 +1/2, -1/2이 된다. 따라서 VBL이 생긴다고 해도, 발생한 topological Hall effect를 평균내면 0이 되어 버린다. 즉, 자구벽의 이동에서 topological Hall effect가 나온다고 하는 것은 뭔가 symmetry가 깨져있다는 것이다. 무엇이 이런 symmetry breaking을 줄 수 있나? 그것이 바로 DMI (Dzyaloshinskii–Moriya interaction)이다 (DMI에 대한 자세한 설명은 생략하자. 궁금하면 나를 찾아오라). 이걸 확인하기 위해서 DMI를 바꿔가면서 시뮬레이션을 해 봤고, 그 결과 DMI가 강해질수록 topological Hall effect가 커지는 것을 발견하였다 (아래 그림). 결론적으로 이야기하자면, DMI가 존재하는 시료에서 자구벽이 움직이게 되면, VBL이 비대칭적으로 생겨나게 되고, 그것이 바로 topological Hall effect를 발생시킨다는 것이다.



마지막으로…. 우리는 이 논문에서 단지 시뮬레이션만 했지만, 이걸 실험으로도 할 수 있을까? 그걸 체크하려면 “발생한 topological Hall effect가 도대체 얼마나 클까?“ 를 확인해야 한다. 자구벽 실험에 사용되는 일반적인 물질인 Co/Ni의 경우에 계산을 해보면, topological Hall effect는 약 수 μV 정도 나오는 것을 알 수 있다. 그리 크지는 않지만, 그렇다고 측정을 못할 양도 아니니… 내가 실험을 좀 한다고 생각하는 사람은 한번 도전해 봐도 좋지 않을까?


저자 김갑진
E-mail : kabjin@kaist.ac.kr


https://doi.org/10.7567/1882-0786/ab1801

Low Magnetic Damping of Ferrimagnet GdFeCo Alloys

Duck-Ho Kim, Takaya Okuno, Se Kwon Kim, Se-Hyeok Oh, Tomoe Nishimura, Yuushou Hirata, Yasuhiro Futakawa, Hiroki Yoshikawa, Arata Tsukamoto, Yaroslav Tserkovnyak, Yoichi Shiota, Takahiro Moriyama, Kab-Jin Kim, Kyung-Jin Lee, and Teruo Ono

 


희토류-전이금속 합금기반 준강자성체에서의 magnetic damping 연구
Research on magnetic damping of Rare Earth - Transition Metal ferrimagnet


우리가 연구하는 스핀 동역학이라는 것은 ‘외부 자극이 주어졌을 때, 스핀이 어떻게 반응하는가?’에 대한 연구이다. 가장 간단한 예로, 외부에서 자기장이 주어졌을 때, 스핀(혹은 자기모멘트)이 어떻게 반응하는지 살펴보면 아래와 같다.


아래 그림에서 붉은색 화살표는 스핀의 방향을 의미하고, 초록색 화살표는 외부에서 걸어주는 자기장의 방향을 의미한다. 외부에서 자기장을 걸어주게 되면 스핀은 세차운동을 하게 된다 이것은 물리적으로 스핀이 각운동량을 가지고 있기 때문인데, 팽이의 운동을 생각해보면 쉽게 이해가 된다 (회전하는 팽이를 슬쩍 건들어보라. 그러면 팽이는 쓰러지지 않고 세차운동을 하게 될테니). 그런데 우리가 익히 알고 있듯이 회전하는 팽이는 언젠가 쓰러지게 된다. 그 이유는 마찰 등으로 에너지를 잃어버리기 때문이다. 스핀의 경우도 마찬가지로, 자기장을 걸어주게 되면 자기장 주변을 세차운동하다가 결국 에너지를 잃어버리고 자기장 방향에 평행하게 정렬하게 된다. 이것을 우리는 magnetic damping이라고 한다. 결국 자기장에 대한 스핀의 반응은 ‘세차운동과 자기장 방향으로의 정렬’ 이라는 두 개의 운동으로 나타난다. 이러한 상황을 식으로 나타내면 아래와 같다 (전문용어로 Landau Lifshitz-Gilbert equation이라고 한다).


$$ \frac{\partial \vec{M}}{\partial t} = - \gamma \left( \vec{M} \times \vec{H} \right) + \frac{\alpha}{|M|} \left( \vec{M} \times \frac{\partial \vec{M}}{\partial t} \right) $$

왼쪽에 있는 항은 시간에 따른 자기모멘트의 변화량을 의미하며, 오른쪽 첫 번째 항은 자기장 (H)에 대한 세차운동, 오른쪽 두 번째 항은 자기장 방향으로의 정렬을 나타낸다. 여기서 α가 바로 magnetic damping parameter라고 하고, ‘얼마나 빨리 에너지를 잃고 자기장 방향으로 정렬하는지’를 나타낸다 (α가 클수록 빨리 정렬한다. 대략적으로 α가 0.01이라고 하면 100번의 세차운동 후, 자기장 방향으로 정렬한다는 것을 의미한다). 따라서, 물질에서 α가 얼마인지를 알아내는 것은 아주 중요한 일이다.


그림. (왼쪽) 외부 자기장 하에서의 스핀의 운동 (오른쪽) 지구 중력장 하에서의 팽이의 운동. (그림출처: UNIST 이기석 교수님)

그런데 α 값을 실험적으로 어떻게 알아낼 수 있을까?


전통적으로 두 가지 방법이 제안되어 왔다. 첫 번째 방법은 FMR (ferromagnetic resonance)이라는 방법으로, 세차운동과 똑같은 주파수의 교류자기장을 외부에서 가해주어서 공명을 일으키는 방법이다. 교류자기장의 주파수를 스윕하게 되면, 공명주파수에서 peak이 나타나게 되고, 이 때 나타나는 peak의 선폭이 바로 damping parameter와 관련이 있게 된다 (일반물리에서 풀었던 damped harmonic oscillator를 기억해 보라). 두 번째 방법은 자기장에 따른 자구벽(domain wall)의 속도를 측정하는 방법으로, 속도-자기장 그래프의 기울기가 damping parameter와 관련이 있게 된다 (자세한 게 궁금하면 나를 찾아오라)


본 연구에서는 희토류-전이금속 합금에서 자구벽의 속도를 측정함으로써 damping parameter를 구하였다. 사용한 물질은 GdFeCo합금이며, 이 물질은 Gd과 FeCo의 자기모멘트 방향이 반대방향으로 향해 있으므로 준강자성체(Ferrimagnet)로 알려져 있다. 희토류-전이금속 준강자성체는 각운동량 보상점(angular momentum compensation temperature)이라는 특이점이 존재하는데, 이 지점에서 Gd과 FeCo의 각운동량이 같아져서 전체 각운동량이 0이 되어버리게 된다.


본 연구에서 두 가지 재미난 사실을 발견했는데, 그것은 1) magnetic damping parameter(α)는 각운동량 보상점이라는 특이점과 전혀 상관없이 항상 거의 일정하다 2) α값이 약 $10^{-3}$ 정도로 아주 작다. 라는 것이다. 이 결과가 재미있는 이유는, 기존의 예측과 전혀 다르다는 점이다. 기존의 예측으로는 damping parameter가 각운동량 보상점에서 발산할 것으로 예측되었고, 따라서 damping parameter값이 온도에 따라 바뀐다고 생각되었다. 그런데 이것이 사실이 아니라는 것을 밝힌 것이다 (사실 물리적인 어떤 parameter가 무한이 된다는 것 자체가 이미 기존의 예측이 잘못되었다는 것을 의미한다). 왜 그럴까?


기존의 예측도 사실 나름대로 일리는 있었다. Damping parameter는 자구벽의 속도나 FMR의 선폭으로 결정되는데, 실제로 이 값들을 측정해보면 각운동량 보상점에서 급격히 커진다. 물리적으로 자구벽의 속도와 FMR의 선폭이 커진다는 것은 위의 그림에서 스핀이 세차운동을 하지 않고 바로 자기장 방향으로 정렬한다는 것을 의미한다. 따라서, ‘자구벽의 속도와 FMR의 선폭이 급격히 커지므로, damping parameter가 커지고 있다’라고 주장하는 것이 일견 합리적으로 보인다.


그런데 이것은 사실이 아니다. 정확하게 말하면, 각운동량보상점에서 스핀이 세차운동을 하지 않고 바로 자기장 방향으로 정렬하는 것은 ‘damping이 커져서’가 아니라 ‘각운동량이 사라져서’이다. 생각해보라. 팽이가 회전하지 않는다면, 그것은 바로 쓰러지게 된다 (우리는 이것을 마찰력이 증가해서…라고 말하지는 않는다). 이게 바로 우리가 발견한 사실이다. 물질에서 damping parameter는 각운동량과 관련이 있는 것이 아니다!


그럼 도대체 물질에서 damping parameter는 무엇이 결정하는 것인가? 이것은 사실 여러 가지 원인이 있을 수 있다. 스핀이 주변에 에너지를 내 놓으면 되고, 그 ‘주변’이 무엇인가에 따라 여러 원인이 있을 수 있는 것이다. 우리가 연구한 GdFeCo라는 물질에서 damping parameter를 결정하는 원인은 Fermi level에서의 전자산란(electron-scattering)이 그 원인인 것으로 생각이 된다. GdFeCo의 밴드 구조를 보면, Gd의 자성을 결정하는 4f electron band는 Fermi level에서 멀리 떨어진 곳에 있어서 전자산란에 크게 영향을 주지 않음에 반해, FeCo의 자성을 결정하는 3d electron band의 경우 Fermi level에 있기 때문에 전자산란에 큰 영향을 준다. 결국, GdFeCo라는 물질에서 magnetic damping에 영향을 주는 것은 FeCo뿐이라는 것이다. 이것을 확인하기 위해서 FeCo만으로 된 물질의 damping parameter를 확인했고, 이 값이 GdFeCo의 값과 거의 같다는 사실을 알아내었다. 이 결과로부터 우리는 GdFeCo의 damping을 결정하는 것은 FeCo에 의한 전자산란이라는 사실을 알 수 있었다.


저자 김갑진
E-mail : kabjin@kaist.ac.kr


https://doi.org/10.1103/PhysRevLett.122.127203

Omnidirectional Spin-Wave Array Antenna

Moojune Song, Kyoung-Woong Moon, Chanyong Hwang, and Kab-Jin Kim

 


스핀파 기반 컴퓨팅의 핵심 기술, 전방향 스핀파 배열 안테나
An important technique for spin wave-based computing, omnidirectional spin-wave array antenna


스핀파, spin wave는 자성체 내 스핀의 집단적인 떨림을 의미하는데, 간단히는 ‘자성체의 파동’이라고 이해할 수 있습니다. 이는 이중성을 가지고 있어서, 입자로서는 마그논(magnon), 파동으로서는 스핀파라고 불립니다. 도체를 가로질러 전자가 이동하는 전기 신호와는 달리, 스핀파는 인접한 스핀과 스핀 사이의 상호작용으로 마치 도미노처럼 전달되는 파동입니다. 따라서 정보 전달 시에 전류에 의한 줄열(Joule heating)이 최소화되어, 스핀파를 이용하면 기존 소자에 비해 매우 저전력으로 구동되는 소자를 만들 수 있습니다. 이에 수많은 스핀파 소자 연구가 진행되어 왔으나[1-3], 스핀파의 제어가 어렵다는 문제점이 있었습니다. 그 중 특히 스핀파의 진행 방향을 조절하는 것은 소자를 구현하는 데 핵심적인 부분이지만 물리적으로도, 공학적으로도 가장 도전적인 부분이었습니다. 이에 Y자 도파관을 만들어 스핀파의 경로를 선택한 연구[4], 줄무늬 자구 패턴을 자기장으로 변화시켜 스핀파의 방향을 전환한 연구[5] 등이 보고되었습니다. 그러나 이들 연구에는 영구적인 소자의 패터닝이 필요해 선택 가능한 방향이 제한되거나, 스핀파의 방향에 따라서 세기가 달라지고 자기장의 보조가 필요하다는 문제점이 존재합니다. 본 연구에서는 이러한 모든 문제를 해결할 수 있는 새로운 아이디어인 ‘스핀파 위상배열 안테나(spin wave phased array antenna)’를 제안합니다.

스핀파는 위상(phase)이 존재하는 파동입니다. 이에 굴절, 간섭, 회절 과 같은 파동의 기본 성질에 의한 현상이 나타남이 이론과 실험을 통해 증명되었습니다[6,7]. 한편 위상배열 안테나(phased array antenna)는 5G 통신, 군사용 레이더 등에서 널리 쓰이는 개념으로, 인접한 파동 발생원 사이의 위상차를 조절함으로써 파동을 원하는 방향으로 전송할 수 있는 기술입니다. 인접 파원 간 위상차가 일정한 값으로 주어지면, 특정 각도에서 파동 간 보강간섭이 크게 일어나고, 이에 따라 한 방향으로 파동이 집중되어 진행합니다. 스핀파 또한 간섭 현상이 일어나므로 같은 원리가 적용될 수 있기에 스핀파에 위상배열 안테나 기술을 적용시켜 보았고, 이것이 가능함을 시뮬레이션을 통해 확인했습니다.

가운데에 스핀파 점파원을 일렬로 설치하고, 이들 각각에 진동하는 자기장을 주어 스핀파를 발생시키되 그 위상이 차이가 나도록 했습니다. 그 결과 그림 1과 같이, 스핀파의 방향이 인접 파원 간 위상차의 변화에 따라 조절됨을 확인했습니다. 한편, 인접 파원간 위상차를 적절히 조절하면 보강간섭이 일어나는 파면을 자유로이 조절할 수 있으므로, 이를 원형으로 만들어 스핀파를 한 점에 집중시키는 ‘스핀파 집중 안테나(spin wave focusing antenna)’ 또한 가능함을 시뮬레이션을 통해 증명하였습니다.

본 연구는 통신 기술이나 군사 기술 등 전자공학 분야에서 널리 사용되는 위상배열 안테나의 개념을 물리학 분야의 스핀파에 접목했다는 점에서 독창성이 있는 연구입니다. ‘스핀파 위상배열 안테나’는 스핀파를 전방향, 실시간, 전기적으로 제어할 수 있기 때문에 기존에 제안된 방식에 비해 기능적으로도 큰 우위를 갖습니다. 더욱이, ‘스핀파 집중 안테나’는 특정 지점의 스핀파 세기를 증폭시킬 수 있어 스핀파 위상배열 안테나의 방향성을 더욱 향상시킬 수 있을 뿐 아니라 스커미온 발생이나 자구벽 제어 등의 스핀 동역학 시스템에 활용될 수 있습니다. 본 연구는 스핀파가 전자기파와 거의 동일한 간섭 거동을 보임을 확인했다는 점에서 물리학적인 의미가 있고, 새로운 방식의 셀렉터(selector), 또는 디멀티플렉서(demultiplexer) 소자로 이 스핀파 위상배열 안테나를 활용할 수 있다는 점에서 공학적인 가치가 큽니다.


[1] M. P. Kostylev, A. A. Serga, T. Schneider, B. Leven, and B. Hillebrands, Applied Physics Letters 87, 153501 (2005).
[2] T. Fischer, M. Kewenig, D. A. Bozhko, A. A. Serga, I. I. Syvorotka, F. Ciubotaru, C. Adelmann, B. Hillebrands, and A. V. Chumak, Applied Physics Letters 110, 152401 (2017).
[3] B. Rana and Y. Otani, Physical Review Applied 9, 014033 (2018).
[4] K. Vogt, F. Y. Fradin, J. E. Pearson, T. Sebastian, S. D. Bader, B. Hillebrands, A. Hoffmann, and H. Schultheiss, Nat. Commun. 5, 3727 (2014).
[5] C. Liu et al., Nat Nanotechnol 14, 691 (2019).

그림 1. 스핀파 위상배열 안테나의 작동과 그 원리. (왼쪽부터 세 그림) 인접한 파원 간 위상차 조절에 따른 스핀파 진행 방향 변화. (오른쪽 위) 스핀파의 개념. 스핀파는 지속적인 스핀의 세차운동으로 이해할 수 있다. (오른쪽 아래) 위상배열 안테나의 원리. 위상차가 파면의 지연을 만들고, 최종 파면(보강간섭)의 각도가 정해진다.

저자 송무준
E-mail : moojune@kaist.ac.kr


https://doi.org/10.1103/PhysRevApplied.11.024027

Real-space and pulse-by-pulse analysis of domain wall creep induced by spin-Hall torque

Takuo Ohkochi, Kab-Jin Kim, Sanghoon Kim, Yoko Yoshimura, Hironobu Tanigawa, Norikazu Ohshima, Tomohiro Koyama, Masato Kotsugi, Daichi Chiba, Teruo Ono, and Toyohiko Kinoshita

 

https://doi.org/10.7567/1347-4065/aaf628

Correlation between compensation temperatures of magnetization and angular momentum in GdFeCo ferrimagnets

Yuushou Hirata, Duck-Ho Kim, Takaya Okuno, Tomoe Nishimura, Dae-Yun Kim, Yasuhiro Futakawa, Hiroki Yoshikawa, Arata Tsukamoto, Kab-Jin Kim, Sug-Bong Choe, and Teruo Ono

 

https://doi.org/10.1103/PhysRevB.97.220403

Effect of depinning field on determination of angular-momentum-compensation temperature of ferrimagnets

Yuushou Hirata, Duck-Ho Kim, Takaya Okuno, Tomoe Nishimura, Yasuhiro Futakawa, Hiroki Yoshikawa, Wooseung Ham, Sanghoon Kim, Arata Tsukamoto, Yoichi Shiota, Takahiro Moriyama, Kab-Jin Kim, Teruo Ono

 

https://doi.org/10.7567/APEX.11.063001

Correlation of the Dzyaloshinskii–Moriya interaction with Heisenberg exchange and orbital asphericity

Sanghoon Kim, Kohei Ueda, Gyungchoon Go, Peong-Hwa Jang, Kyung-Jin Lee, Abderrezak Belabbes, Aurelien Manchon, Motohiro Suzuki, Yoshinori Kotani, Tetsuya Nakamura, Kohji Nakamura, Tomohiro Koyama, Daichi Chiba, Kihiro. T. Yamada, Duck-Ho Kim, Takahiro Moriyama, Kab-Jin Kim, Teruo Ono

 

https://doi.org/10.1038/s41467-018-04017-x

Microscopic Investigation into the Electric Field Effect on Proximity-Induced Magnetism in Pt

K. T. Yamada, M. Suzuki, A.-M. Pradipto, T. Koyama, S. Kim, K.-J. Kim, S. Ono, T. Taniguchi, H. Mizuno, F. Ando, K. Oda, H. Kakizakai, T. Moriyama, K. Nakamura, D. Chiba and T. Ono

 

https://doi.org/10.1103/PhysRevLett.120.157203

Spin currents and spin-orbit torques in ferromagnetic trilayers

Seung-heon C. Baek, Vivek P. Amin, Young-Wan Oh, Gyungchoon Go, Seung-Jae Lee, Geun-Hee Lee, Kab-Jin Kim, M.D. Stiles, Byong-Guk Park, Kyung-Jin Lee

 

https://doi.org/10.1038/s41563-018-0041-5

Three-dimensional visualization of magnetic domain structure with strong uniaxial anisotropy via scanning hard X-ray microtomography

Motohiro Suzuki, Kab-Jin Kim, Sanghoon Kim, Hiroki Yoshikawa, Takayuki Tono, Kihiro T. Yamada, Takuya Taniguchi, Hayato Mizuno, Kent Oda, Mio Ishibashi, Yuushou Hirata, Tian Li, Arata Tsukamoto, Daichi Chiba, and Teruo Ono

 

https://doi.org/10.7567/APEX.11.036601

Fast domain wall motion in the vicinity of the angular momentum compensation temperature of ferrimagnets

Kab-Jin Kim, Se Kwon Kim, Yuushou Hirata, Se-Hyeok Oh, Takayuki Tono, Duck-Ho Kim, Takaya Okuno, Woo Seung Ham, Sanghoon Kim, Gyoungchoon Go, Yaroslav Tserkovnyak, Arata Tsukamoto, Takahiro Moriyama, Kyung-Jin Lee and Teruo Ono

 

https://doi.org/10.1038/nmat4990

Temperature dependence of spin-orbit effective fields in Pt/GdFeCo bilayers

Woo Seung Ham, Sanghoon Kim, Duck-Ho Kim, Kab-Jin Kim, Takaya Okuno, Hiroki Yoshikawa, Arata Tsukamoto, Takahiro Moriyama, and Teruo Ono

 

https://doi.org/10.1063/1.4985436

Contributions of Co and Fe orbitals to perpendicular magnetic anisotropy of MgO/CoFeB bilayers with Ta, W, IrMn, and Ti underlayers

Sanghoon Kim, Seung-heon Chris Baek, Mio Ishibashi, Kihiro Yamada, Takuya Taniguchi, Takaya Okuno, Yoshinori Kotani, Tetsuya Nakamura, Kab-Jin Kim, Takahiro Moriyama, Byong-Guk Park and Teruo Ono

 

https://doi.org/10.7567/APEX.10.073006

Origin of threshold current density for asymmetric magnetoresistance in Pt/Py bilayers

Tian Li, Sanghoon Kim, Seung-Jae Lee, Seo-Won Lee, Tomohiro Koyama, Daichi Chiba, Takahiro Moriyama, Kyung-Jin Lee, Kab-Jin Kim, and Teruo Ono

 

https://doi.org/10.7567/APEX.10.073001

Magnetic droplet nucleation with a homochiral Néel domain wall

Sanghoon Kim, Peong-Hwa Jang, Duck-Ho Kim, Mio Ishibashi, Takuya Taniguchi, Takahiro Moriyama, Kab-Jin Kim, Kyung-Jin Lee, and Teruo Ono

 

https://doi.org/10.1103/PhysRevB.95.220402

energy-efficient writing scheme for magnetic domain-wall motion memory

Kab-Jin Kim, Yoko Yoshimura, Woo Seung Ham, Rick Ernst, Yuushou Hirata, Tian Li, Sanghoon Kim, Takahiro Moriyama, Yoshinobu Nakatani, and Teruo Ono

 

https://doi.org/10.7567/APEX.10.043002

Electrical control of superparamagnetism

Kihiro T. Yamada, Tomohiro Koyama, Haruka Kakizakai, Kazumoto Miwa, Fuyuki Ando, Mio Ishibashi, Kab-Jin Kim, Takahiro Moriyama, Shimpei Ono, Daichi Chiba, and Teruo Ono

 

https://doi.org/10.7567/APEX.10.013004

Temperature dependence of spin Hall magnetoresistance in W/CoFeB bilayer

Takaya Okuno, Takuya Taniguchi, Sanghoon Kim, Seung-heon Chris Baek, Byong-Guk Park, Takahiro Moriyama, Kab-Jin Kim, and Teruo Ono

 

https://doi.org/10.7567/JJAP.55.080308

Temperature dependence of magnetoresistance in GdFeCo/Pt heterostructure

Takaya Okuno, Kab-Jin Kim, Takayuki Tono, Sanghoon Kim, Takahiro Moriyama, Hiroki Yoshikawa, Arata Tsukamoto, and Teruo Ono

 

https://doi.org/10.7567/APEX.9.073001

Exchange bias controlled by electric current:Interplay of Joule heating and the induced field

Kent Oda, Takahiro Moriyama, Masashi Kawaguchi, Michinari Kamiya, Kensho Tanaka, Kab-Jin Kim, and Teruo Ono

 

https://doi.org/10.7567/JJAP.55.070304

Modulation of the magnetic domain size induced by an electric field

F. Ando, H.Kakizakai, T. Koyama, K. Yamada, M. Kawaguchi, S. Kim, Kab-Jin Kim, T. Moriyama, D. Chiba, and T. Ono

 

https://doi.org/10.1063/1.4955265

Observation of asymmetry in domain wall velocity under transverse magnetic field

Kab-Jin Kim, Y. Yoshimura, T. Okuno, T. Moriyama, S.-W. Lee, K.-J. Lee, Y. Nakatani and T. Ono

 

https://doi.org/10.1063/1.4944897

Field-driven domain wall motion under a bias current in the creep and flow regimes in [CoSiB/Pt]Nnanowires

Y. H. Choi, Y. Yoshimura, Kab-Jin Kim, K. Lee, T. W. Kim, T. Ono, C.-Y. You, and M. H. Jung

 

https://doi.org/10.1038/srep23933

Switching local magnetization by electric-field-induced domain wall motion

H.Kakizakai, F. Ando, T. Koyama, K. Yamada, M. Kawaguchi, S. Kim, Kab-Jin. Kim, T. Moriyama, D. Chiba, and T. Ono

 

https://doi.org/10.7567/APEX.9.063004

Soliton-like magnetic domain wall motion induced by the interfacial Dzyaloshinskii-Moriya interaction

Yoko Yoshimura, Kab-Jin Kim, Takuya Taniguchi, Takayuki Tono, Kohei Ueda, Ryo Hiramatsu, Takahiro Moriyama, Keisuke Yamada, Yoshinobu Nakatani, and Teruo Ono

 

https://doi.org/10.1038/nphys3535

Current induced antiferro–ferromagnetic transition in FeRh nanowires

Noriko Matsuzaki, Takahiro Moriyama, Masaki Nagata, Kab-Jin Kim, Ippei Suzuki, Tomoyasu Taniyama, and Teruo Ono

 

https://doi.org/10.7567/JJAP.54.073002

Precise control of magnetic domain wall displacement by a nanosecond current pulse in Co/Ni nanowires

Takuya Taniguchi, Kab-Jin Kim, Takayuki Tono, Takahiro Moriyama, Yoshinobu Nakatani, and Teruo Ono

 

https://doi.org/10.7567/APEX.8.073008

Dimensional crossover characterized by distribution of magnetic domain wall creep velocity

Takuya Taniguchi, Kab-Jin Kim, Takayuki Tono, Sanghoon Kim, Takahiro Moriyama, and Teruo Ono

 

https://doi.org/10.7567/APEX.8.073004

Temperature dependence of current-induced magnetic domain wall motion in an asymmetric Co/Ni nanowire

K. Ueda, R. Hiramatsu, Kab-Jin Kim, T. Taniguchi, T. Tono, T. Moriyama, and T. Ono

 

https://doi.org/10.7567/JJAP.54.038004

Localized precessional mode of domain wall controlled by magnetic field and dc current

R. Hiramatsu, Kab-Jin Kim, T. Taniguchi, T. Tono, T. Moriyama, S. Fukami, M. Yamanouchi, H. Ohno, Y. Nakatani, and T. Ono

 

https://doi.org/10.7567/APEX.8.023003

Transition in mechanism for current-driven magnetic domain wall dynamics

Kohei Ueda, Kab-Jin Kim, Yoko Yoshimura, Ryo Hiramatsu, Takahiro Moriyama, Daichi Chiba, Hironobu Tanigawa, Tetsuhiro Suzuki, Eiji Kariyada, and Teruo Ono

 

https://doi.org/10.7567/APEX.7.053006

Different stochastic behaviors for magnetic field and current in domain wall creep motion

Takuya Taniguchi, Kab-Jin Kim, Yoko Yoshimura, Takahiro Moriyama, Hironobu Tanigawa, Tetsuhiro Suzuki, Eiji Kariyada, and Teruo Ono

 

https://doi.org/10.7567/APEX.7.053005

Tradeoff between low-power operation and thermal stability in magnetic domain-wall-motion devices driven by spin Hall torque

Kab-Jin Kim, Ryo Hiramatsu, Takahiro Moriyama, Hironobu Tanigawa, Tetsuhiro Suzuki, Eiji Kariyada, and Teruo Ono

 

https://doi.org/10.7567/APEX.7.053003

Effect of spin Hall torque on current-induced precessional domain wall motion

Yoko Yoshimura, Tomohiro Koyama, Daichi Chiba, Yoshinobu Nakatani, Shunsuke Fukami, Michihiko Yamanouchi, Hideo Ohno, Kab-Jin Kim, Takahiro Moriyama, and Teruo Ono

 

https://doi.org/10.7567/APEX.7.033005

Distribution of critical current density for magnetic domain wall motion

S. Fukami, M. Yamanouchi, Y. Nakatani, Kab-Jin Kim, T. Koyama, D. Chiba, S. Ikeda, N. Kasai, T. Ono, and H. "Ohno

 

https://doi.org/10.1063/1.4866394

Two-barrier stability that allows low-power operation in current-induced domain-wall motion

Kab-Jin Kim, Ryo Hiramatsu, Tomohiro Koyama, Kohei Ueda, Yoko Yoshimura, Daichi Chiba, Kensuke Kobayashi, Yoshinobu Nakatani, Shunsuke Fukami, Michihiko Yamanouchi, Hideo Ohno, Hiroshi Kohno, Gen Tatara and Teruo Ono

 

https://doi.org/10.1038/ncomms3011

Current-Induced Magnetic Domain Wall Motion in a Co/Ni Nanowire with Structural Inversion Asymmetry

Tomohiro Koyama, Hiroshi Hata, Kab-Jin Kim, Takahiro Moriyama, Hironobu Tanigawa, Tetsuhiro Suzuki, Yoshinobu Nakatani, Daichi Chiba, and Teruo Ono

 

https://doi.org/10.7567/APEX.6.033001

Universal classes of magnetic-field- and electric-current-induced magnetic domain-wall dynamics in one and two dimensional regimes

Kab-Jin Kim, Jae-Chul Lee, Kyung-Ho Shin, Hyun-Woo Lee, Sug-Bong Choe

 

https://doi.org/10.1016/j.cap.2012.07.018

Width-Dependent Transition of Magnetic Domain Configuration in Nanostructured CoFe/Pt Multilayered Nanowires

Soong-Geun Je, Jae-Chul Lee, Kab-Jin Kim, Byoung-Chul Min, Kyung-Ho Shin, Sug-Bong Choe

 

https://doi.org/10.4283/JMAG.2012.17.4.242

Current-induced magnetic domain wall motion below intrinsic threshold triggered by Walker breakdown

T. Koyama, K. Ueda, Kab-Jin Kim, Y. Yoshimura, D. Chiba, K. Yamada, J.-P. Jamet, A. Mougin, A. Thiaville, S. Mizukami,  S. Fukami, N. Ishiwata, Y. Nakatani, H. Kohno, K. Kobayashi & T. Ono

 

https://doi.org/10.1038/nnano.2012.151

Observation of magnetic domain-wall dynamics transition in Co/Ni multilayered nanowires

Kab-Jin Kim, D. Chiba, K. Kobayashi, S. Fukami, M. Yamanouchi, H. Ohno, Soong-Geun Je, Sug-Bong Choe, and T. Ono

 

https://doi.org/10.1063/1.4733667

Electric current effect on energy barrier of magnetic domain wall depinning: Origin of quadratic contribution

Kab-Jin Kim, Jisu Ryu, Gi-Hong Gim, Jae-Chul Lee, Kyoung-Ho Shin, Hyun-Woo Lee, and Sug-Bong Choe

 

https://doi.org/10.1103/PhysRevLett.107.217205

Electric control of multiple domain walls in Pt/Co/Pt nanotrack with perpendicular magnetic anisotropy

Kab-Jin Kim, Jae-Chul Lee, Sang-Jun Yun, Gi-Hong Gim, Kang-Soo Lee, Sug-Bong Choe, and Kyung-Ho Shin

 

https://doi.org/10.1143/APEX.3.083001

Depinning Field at Notches of Ferromagnetic Nanowires With Perpendicular Magnetic Anisotropy

Kab-Jin Kim, Gi-Hong Gim, Jae-Chul Lee, Sung-Min Ahn, Kang-Soo Lee, Young Jin Cho, Chang-Won Lee, Sunae Seo, Kyung-Ho Shin, and Sug-Bong Choe

 

https://doi.org/10.1109/TMAG.2009.2024893

Current-Induced Domain-Wall Motion in CoFe/Pt (5) Nanowire With Perpendicular Magnetic Anisotropy

Kab-Jin Kim, Jae-Chul Lee, Young Jin Cho, Chang-Won Lee, Kyung-Ho Shin, Sunae Seo, Kyung-Jin Lee, Hyun-Woo Lee, and Sug-Bong Choe

 

https://doi.org/10.1109/TMAG.2009.2025605

Superparamagnetic Behavior of Pt/CoFe/Pt Nanowires With Decreasing Wire Width

Jae-Chul Lee, Kab-Jin Kim, Chang-Won Lee, Young Jin Cho, Sunae Seo, Chun-Yeol You, Kyung-Ho Shin, and Sug-Bong Choe

 

https://doi.org/10.1109/TMAG.2009.2023614

Interdimensional universality of dynamic interfaces

Kab-Jin Kim, Jae-Chul Lee, Sung-Min Ahn, Kang-Soo Lee, Chang-Won Lee, Young Jin Cho, Sunae Seo, Kyung-Ho Shin, Sug-Bong Choe, and Hyun-Woo Lee

 

https://doi.org/10.1038/nature07874

Experimental Study of Thermally Activated Magnetization Reversal With a Spin-Transfer Torque in a Nanowire

Seon Ock Kim, Woo Jin Kim, Kab-Jin Kim, Sug-Bong Choe, Young Man Jang, Seung Ha Yoon, Beong Ki Cho, and Taek Dong Lee

 

https://doi.org/10.1109/TMAG.2008.2002419